Andra ordningens ODE som ett system av första ordningens ODEs + Eulers metod
Hej!
Jag har klurat på denna uppgift ett tag och förstår mig inte riktigt på lösningen till den.
Uppgift:

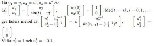
Lösning (från facit):

Jag förstår inte riktigt hur man tillämpar Eulers metod.
Två specifika frågor jag har är följande:
1) Vad är ? Vad jag kan se har vi ju endast .
2) Vart kommer '2' ifrån i t.ex. och hur vet vi värdet av ?
Vad som verkar vara problemet är att jag inte riktigt förstår mig på hur man uttrycker Eulers metod i matrisform?
Har du möjlighet att ta kort på facit?
Jag anser att u0 är din vektor med begynnelsevärden och att u0(2) representar värde nummer två i den vektorn. Men, om du studerar deras tillämpning ser du att de vänt på det eftersom u0(1) = 1 och u0(2) = 0. Jag ber dig därmed att ta kort för att försäkra mig att du skrivit av korrekt.
Ebola skrev:Jag anser att u0 är din vektor med begynnelsevärden och att u0(2) representar värde nummer två i den vektorn. Men, om du studerar deras tillämpning ser du att de vänt på det eftersom u0(1) = 1 och u0(2) = 0. Jag ber dig därmed att ta kort för att försäkra mig att du skrivit av korrekt.

Eulers metod är i stort densamma för andra ordningens ODE som för första ordningens ODE. Skillnaden är just den när du gör variabeldeklarationer som transformerar den från andra ordningen till första ordningen.
I det här fallet har du bara missförstått vad facit har skrivit och sedan blandat ihop deras notation när du skrev av. Om vi expanderar systemet i deras lösning så får vi:
Om något är oklart med denna notationen får du säga till. Märk väl att:
Ebola skrev:Eulers metod är i stort densamma för andra ordningens ODE som för första ordningens ODE. Skillnaden är just den när du gör variabeldeklarationer som transformerar den från andra ordningen till första ordningen.
I det här fallet har du bara missförstått vad facit har skrivit och sedan blandat ihop deras notation när du skrev av. Om vi expanderar systemet i deras lösning så får vi:
Om något är oklart med denna notationen får du säga till. Märk väl att:
Hej igen och ursäkta för sent svar!
Det var expanderingen av systemet jag ej riktigt förstod då.
Din klargöring av notationen var pricken över i:et!
Nu hänger jag med på noterna här, tack så hemskt mycket!