5 svar
124 visningar
Freedom 514 – Fd. Medlem
Postad: 3 aug 2020 19:34

Andragradfunktionen

Visa spoiler

Skriv ditt dolda innehåll här

Hej!

Jag har gjort den här uppgift men svaret i slutet är inte samma som facit. 
Facit är x=–1 och x= 6 men för mig är tvärtom 🙃

tindra03 372
Postad: 3 aug 2020 19:51

Kolla på steg 1, mer specifikt första steget i pq-formeln -p/2. Du har skrivit att detta har värdet -2,5

 

Om p=-5 vad får -p/2 för värde då?

lycka till!😁

Randyyy 412 – Fd. Medlem
Postad: 3 aug 2020 19:51

Om du kollar på PQ-Formeln som är skriven längst upp till höger kan du notera att det står -p/2. du har -5 som koefficient. vad blir -(-5/2)?

Sten 1216 – Livehjälpare
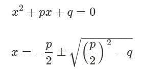
Postad: 3 aug 2020 19:53

Så här ser pq-formeln ut. Kolla tecknet före p.

Freedom 514 – Fd. Medlem
Postad: 3 aug 2020 20:04
Randyyy skrev:

Om du kollar på PQ-Formeln som är skriven längst upp till höger kan du notera att det står -p/2. du har -5 som koefficient. vad blir -(-5/2)?

Okej! om jag förstår dig så det bli +2,5?

Randyyy 412 – Fd. Medlem
Postad: 3 aug 2020 20:40
Freedom skrev:
Randyyy skrev:

Om du kollar på PQ-Formeln som är skriven längst upp till höger kan du notera att det står -p/2. du har -5 som koefficient. vad blir -(-5/2)?

Okej! om jag förstår dig så det bli +2,5?

Det blir alltid enklare om du räknar exakt och håller det som 5/2 istället, sedan behöver man inte använda miniräknaren så mycket för den delen heller vilket är en bonus. Men i vilket fall, testa att räkna med 2.5 istället för -2.5 och se vad som händer. 

Svara
Close