differentialekvationer
Hur ska jag fortsätta nu

Tyvärr fel homogen lösning. r=-1 är en dubbelrot.
Hur ska jag fortsätta
Det verkar bli något fel när du deriverar. Tänk på att lösningen du ansätter innehåller , det ramlar ut ett minus varje gång den deriveras.
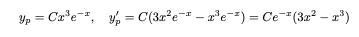
När jag räknade fick jag och .
Alltså är
EDIT Mitt tidigare svar innehöll felaktigheter. Ursäkta.
Din homogena lösning är korrekt.
Den inhomogena ansatsen bör vara(precis som du säger) . Men det leder till orimligheter. Därför bör vi höja x-potensen ytterligare ett gradtal och ansätta . Det liknar din ansats men kanske lite enklare kalkyler.
Vet inte hur jag ska forsätta

Lite svårt att hänga med, med du verkar ha ett fel i förstaderivatan. Sen blir det följdfel.

Gör ett nytt försök!
Du slarvar alldeles för mycket när du deriverar.
Bra, nu ser det rätt ut.
Om du nu sätter ihop och förenklar ska du få kvar
Blir inte y''p= (6x-6x^2-x^3)e^-x
Nej, plus framför . Eller hur?
Dessutom konstant C.
Hej undrar om k vara 1 eller 0 istället för 2?
Ursäkta nu förstod jag inte frågan
Anna undrar förmodligen om hon kan ansätta en partikulärlösning som krockar med den homogena lösningen, dvs en lösning med lägre gradtal på x.
Det går inte eftersom det skulle krocka med den homogena lösningen. Testa får du se!


