14 svar
169 visningar
jagärintesåsmart behöver inte mer hjälp
jagärintesåsmart 71
Postad: 6 feb 2021 23:10

andragradsekvation

Uppgift: x-5=3x

vet inte vart jag gjorde fel men jag gjorde såhär

jag gjorde båda leden i kvadrat men orkar inte visa det steget men det var så jag fick 9x-x2 = 10x+25

hoppas det e ok att den är sne för jag vet inte hur man ändrar den

Smaragdalena 78892 – Avstängd
Postad: 6 feb 2021 23:26

Jag kan inte läsa vad du har skrivit när bilden är på tvären, men jag kan kolla om jag kommer fram till samma ekvation som du.

x-5=3xx-5=3\sqrt{x}     kvadrera båda sidor

(x-5)2 = 3x

x2+10x+25 = 3x

x2+7x+25 = 0

 

Din ekvation: 

9x-x2 = 10x+25

0 = x2+x+25

Nej, det blev inte samma.

jagärintesåsmart 71
Postad: 6 feb 2021 23:38
Smaragdalena skrev:

Jag kan inte läsa vad du har skrivit när bilden är på tvären, men jag kan kolla om jag kommer fram till samma ekvation som du.

x-5=3xx-5=3\sqrt{x}     kvadrera båda sidor

(x-5)2 = 3x

x2+10x+25 = 3x

x2+7x+25 = 0

 

Din ekvation: 

9x-x2 = 10x+25

0 = x2+x+25

Nej, det blev inte samma.

sen när jag gjorde pq-formeln så fick jag x=-72+-512i

man kan väl inte addera eller subtrahera imaginära tal med reella tal, för isf borde detta vara svaret eftersom man inte kan göra. hur kan då svaret vara x1= 1, x2= 9

(förlåt för jag är dum)

9x - x= 10x + 25 tror jag är fel. Jag fick det till 9x - x= - 10x + 25

x-5 = x- 10x + 25

Resten kanske är rätt, har inte kollat.

Smaragdalena skrev:

Jag kan inte läsa vad du har skrivit när bilden är på tvären, men jag kan kolla om jag kommer fram till samma ekvation som du.

x-5=3xx-5=3\sqrt{x}     kvadrera båda sidor

(x-5)2 = 3x

x2+10x+25 = 3x

x2+7x+25 = 0

 

Din ekvation: 

9x-x2 = 10x+25

0 = x2+x+25

Nej, det blev inte samma.

(3x )2=9x

och

(x-5)2=x2-10x+25

9x = x- 10x + 25

0 = x2 -19x +25

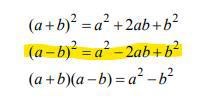
tror jag, hittade den här bilden för 3*x1/2 biten

jagärintesåsmart skrev:
Smaragdalena skrev:

Jag kan inte läsa vad du har skrivit när bilden är på tvären, men jag kan kolla om jag kommer fram till samma ekvation som du.

x-5=3xx-5=3\sqrt{x}     kvadrera båda sidor

(x-5)2 = 3x

x2+10x+25 = 3x

x2+7x+25 = 0

 

Din ekvation: 

9x-x2 = 10x+25

0 = x2+x+25

Nej, det blev inte samma.

sen när jag gjorde pq-formeln så fick jag x=-72+-512i

man kan väl inte addera eller subtrahera imaginära tal med reella tal, för isf borde detta vara svaret eftersom man inte kan göra. hur kan då svaret vara x1= 1, x2= 9

(förlåt för jag är dum)

är svaret x1=1 och x2=9? jag fick det till ungefär 1.42 och 17.58 när jag hade 0=x2 - 19x + 25

jagärintesåsmart 71
Postad: 7 feb 2021 01:00
villkorligtGodkänd skrev:
jagärintesåsmart skrev:
Smaragdalena skrev:

Jag kan inte läsa vad du har skrivit när bilden är på tvären, men jag kan kolla om jag kommer fram till samma ekvation som du.

x-5=3xx-5=3\sqrt{x}     kvadrera båda sidor

(x-5)2 = 3x

x2+10x+25 = 3x

x2+7x+25 = 0

 

Din ekvation: 

9x-x2 = 10x+25

0 = x2+x+25

Nej, det blev inte samma.

sen när jag gjorde pq-formeln så fick jag x=-72+-512i

man kan väl inte addera eller subtrahera imaginära tal med reella tal, för isf borde detta vara svaret eftersom man inte kan göra. hur kan då svaret vara x1= 1, x2= 9

(förlåt för jag är dum)

är svaret x1=1 och x2=9? jag fick det till ungefär 1.42 och 17.58 när jag hade 0=x2 - 19x + 25

ja enligt facit 1 och 9, jag får samma som dig men vet inte hur man gör annars

jagärintesåsmart 71
Postad: 7 feb 2021 01:04
villkorligtGodkänd skrev:
Smaragdalena skrev:

Jag kan inte läsa vad du har skrivit när bilden är på tvären, men jag kan kolla om jag kommer fram till samma ekvation som du.

x-5=3xx-5=3\sqrt{x}     kvadrera båda sidor

(x-5)2 = 3x

x2+10x+25 = 3x

x2+7x+25 = 0

 

Din ekvation: 

9x-x2 = 10x+25

0 = x2+x+25

Nej, det blev inte samma.

(3x )2=9x

och

(x-5)2=x2-10x+25

9x = x- 10x + 25

0 = x2 -19x +25

tror jag, hittade den här bilden för 3*x1/2 biten

jag utgick från din ekvation ovan och får bara x1= 17,57 och x2=1,42, hur borde jag tänka för att få x1=1 och x2=9 ?

jag fick också 17,58 och 1,42. Är du helt säker på att det stod x-5=3*x i uppgiften?

jagärintesåsmart 71
Postad: 7 feb 2021 01:15
villkorligtGodkänd skrev:

jag fick också 17,58 och 1,42. Är du helt säker på att det stod x-5=3*x i uppgiften?

japp

eh, jag vet inte hur det funkar :/ Jag kan helt klart ha gjort fel.

svaret med 1,42 funkar iaf inte. 31,421,42-5

inte för att 17,58 är nära 9 ändå

villkorligtGodkänd 20 – Fd. Medlem
Postad: 7 feb 2021 05:01 Redigerad: 7 feb 2021 05:03

kom bara att tänka på en sak, testa att stoppa in x-värdena som du vet är svaret i uppgiften.

x-5=3 * sqrt(x)

1-5=3*1 stämmer inte

9-5 = 3*3 stämmer inte

antingen har jag missuppfattat allt, eller så är det något fel på uppgiften/facit.

Yngve 42408
Postad: 7 feb 2021 09:26
jagärintesåsmart skrev: 

ja enligt facit 1 och 9, jag får samma som dig men vet inte hur man gör annars

Det är enkelt att konstatera att varken x = 1 eller x = 9 är lösning till ekvationen.

Är du säker på att du har läst facit på rätt uppgift?

jagärintesåsmart 71
Postad: 7 feb 2021 10:31
Yngve skrev:
jagärintesåsmart skrev: 

ja enligt facit 1 och 9, jag får samma som dig men vet inte hur man gör annars

Det är enkelt att konstatera att varken x = 1 eller x = 9 är lösning till ekvationen.

Är du säker på att du har läst facit på rätt uppgift?

ja det står x1 = 1 och x2 = 9, men antar att det kanske är fel i facit

Yngve 42408
Postad: 7 feb 2021 13:11
jagärintesåsmart skrev:

ja det står x1 = 1 och x2 = 9, men antar att det kanske är fel i facit

Ja då är antingen uppgiften eller facit fel.

Svara
Close