andragradsekvation
vi har en graf som är F(X)= x2 -x -2 eller y= x2-x-2
vi vet att den har två reala lösningar då x1= är -1 och x2= 2 då det blir nollpunkterna
Synd att jag inte kan rita upp grafen här men det är bara att använda kalkylatorn på datorn.
jag undrar då om hur jag bestämmer F(0) x2-z-2=0 för vi vet redan att x1 och x2 är -1 oh 2 ?
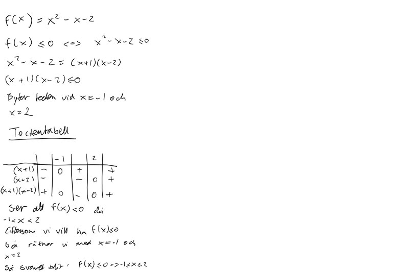
hur samt om för vilka värden på x är f(x) ≤ 0.
sen Bestäm f(-2)
och sist Bestäm x om f(x–4)=–2
Jag går i 9an och studerar frammåt under sommaren ur min storebrors böcker och vill lära mig detta innan svenska 2c börjar.
Hej, ladda upp en bild på grafen så att vi har något att prata om. Om du inte vet hur du ska göra kan du ladda upp en bild på grafen ritat i desmos eller geogbra.
F(x)=... betyder att F är en funktion av x, man brukar också säga f(x)=y=... där ... är ett uttryck baserat på variabeln x. Detta betyder helt enkelt att värdet på y är helt beroende på vad x är. Om vi då ska bestämma f(0) så frågar vi oss själva, vilket y-värde antar funktionen f när x=0?
Dracaena skrev:Hej, ladda upp en bild på grafen så att vi har något att prata om. Om du inte vet hur du ska göra kan du ladda upp en bild på grafen ritat i desmos eller geogbra.
F(x)=... betyder att F är en funktion av x, man brukar också säga f(x)=y=... där ... är ett uttryck baserat på variabeln x. Detta betyder helt enkelt att värdet på y är helt beroende på vad x är. Om vi då ska bestämma f(0) så frågar vi oss själva, vilket y-värde antar funktionen f när x=0?
här är grafen mr!!
Dracaena skrev:Hej, ladda upp en bild på grafen så att vi har något att prata om. Om du inte vet hur du ska göra kan du ladda upp en bild på grafen ritat i desmos eller geogbra.
F(x)=... betyder att F är en funktion av x, man brukar också säga f(x)=y=... där ... är ett uttryck baserat på variabeln x. Detta betyder helt enkelt att värdet på y är helt beroende på vad x är. Om vi då ska bestämma f(0) så frågar vi oss själva, vilket y-värde antar funktionen f när x=0?
menar att y= x2 -x-2
musse.muslimen skrev:
menar att y= x2 -x-2
Om du har en andragradsfunktion med rötterna -1 och 2 så kan denna andragradsfunktion skrivas som f(x) = k(x+1)(x-). I ditt fall är k = 1 eftersom koefficienten för x2-termen är 1.
Det finns många andragradsfunktioner som har nollställena x = -1 och x = 2:.jpg?width=800&upscale=false)
Det skall stå:
Om du har en andragradsfunktion med rötterna -1 och 2 så kan denna andragradsfunktion skrivas som f(x) = k(x+1)(x-2). I ditt fall är k = 1 eftersom koefficienten för x2-termen är 1.
Smaragdalena skrev:Det skall stå:
Om du har en andragradsfunktion med rötterna -1 och 2 så kan denna andragradsfunktion skrivas som f(x) = k(x+1)(x-2). I ditt fall är k = 1 eftersom koefficienten för x2-termen är 1.
hur ska man tänka om Bestäm f(0) samt om För vilka värden på x är f(x) ≤ 0
samt
musse.muslimen skrev:Smaragdalena skrev:Det skall stå:
Om du har en andragradsfunktion med rötterna -1 och 2 så kan denna andragradsfunktion skrivas som f(x) = k(x+1)(x-2). I ditt fall är k = 1 eftersom koefficienten för x2-termen är 1.
hur ska man tänka om Bestäm f(0) samt om För vilka värden på x är f(x) ≤ 0
samt
f(0) är samma sak som y = x^2 - x - 2 där x = 0 är instoppat
Vid f(x) ≤ 0 så kan man tänka att eftersom f(x) = x^2 - x - 2, där koefficienten fram x^2 termen är positiv så vet vi att f(x) ≤ 0 endast mellan dess två nollställen. Alltså f(x) ≤ 0 => -1 ≤ x ≤ 2
Såhär kan du lösa f(x) <= 0. Om man vill göra det lite mer matematiskt.

musse.muslimen skrev: