8 svar
133 visningar
Kem018 behöver inte mer hjälp
Kem018 30 – Fd. Medlem
Postad: 21 feb 2018 12:57

Andragradsekvation

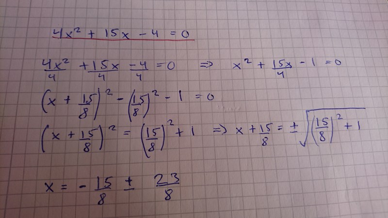
Får inte denna rätt, skulle behöva hjälp,

Heltalsfenrik 31 – Fd. Medlem
Postad: 21 feb 2018 13:24

Räknefel när du plockar bort roten-ur.

Kem018 30 – Fd. Medlem
Postad: 21 feb 2018 14:20

Okej, så att ta roten ur på ett uttryck i taget, för att sedan addera dem är inte ok?

Är de så här jag gör, eller finns enklare sätt?

Heltalsfenrik 31 – Fd. Medlem
Postad: 21 feb 2018 15:03 Redigerad: 21 feb 2018 15:05

Precis. Det du gör nu är korrekt.

Det gäller att

 a×b=a×b

men 

a+ba+b

För att slippa slå roten ur 289 på miniräknare finns det satser innefattandes att alla heltal kan beskrivas med multiplikation av primtal och så kan man ofta utgå ifrån det.

However, är 17 i sig ett primtal och är svårt att veta på tumanhand att 289 kan beskrivas med just primtalen 17*17, således lättast att gissa/testa eller slå det på räknaren skulle jag villa påstå.

Frank 3 – Fd. Medlem
Postad: 21 feb 2018 15:46

Kem018 30 – Fd. Medlem
Postad: 21 feb 2018 16:27

Okej, tack för hjälpen, ska kolla upp mer angående primtal, låter praktiskt att använda.

Tack för svar frank, tyvärr lite överkurs för mig vid första anblick, får ta mig en funderar på de :)

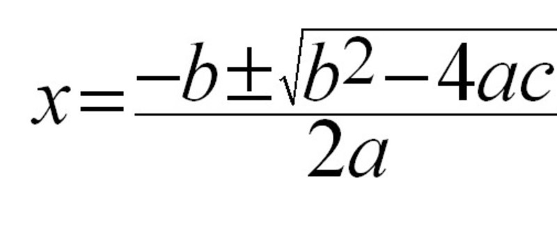
Frank 3 – Fd. Medlem
Postad: 21 feb 2018 16:37 Redigerad: 21 feb 2018 16:39

Just used this simple formula

X1 use plus and X2 use minus then find the value of X1 and  x2

Kem018 30 – Fd. Medlem
Postad: 21 feb 2018 16:56

Okej då förstår jag :) vad heter formeln?

Kem018 30 – Fd. Medlem
Postad: 21 feb 2018 17:02

En variant av pq formeln antar jag, hade inte sett den tidigare :)

Svara
Close