Andragradsekvation där q är icke-reellt och p är komplext
Den här typen av andragradsekvationer löses enligt boken genom att kvadratkomplettera diskriminanten, men det lyckades jag inte med. Försökte istället lösa ekvationssystemet nedan men där fastnade jag. 
Jag ser en enkel lösning: a= 2 och b -1.
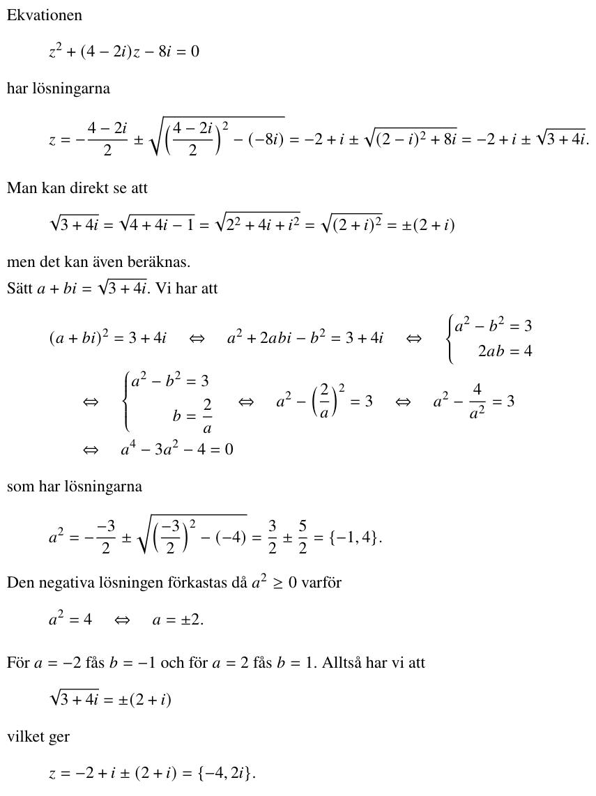
Är det z2 + (4-2i)z - 8i = 0 du ska lösa ?
Laguna skrev:Jag ser en enkel lösning: a= 2 och b -1.
Är det z2 + (4-2i)z - 8i = 0 du ska lösa ?
Ja, det stämmer. Finns det något enklare sätt att lösa denna typ av ekvationer med?
Kvadratkomplettering är egentligen samma sak som pq-formeln, så det borde inte göra saken enklare.
Du kan använda a = -2/b och sätta in i det andra.
Laguna skrev:Kvadratkomplettering är egentligen samma sak som pq-formeln, så det borde inte göra saken enklare.
Du kan använda a = -2/b och sätta in i det andra.
Jag får då följande
b4 + 3b2 = 4 kan du lösa som vanligt med pq-formeln om du sätter b2 = t.
Jag har kommit såhär långt.
Hur ska jag gå tillväga sen?
Vad ska jag göra med lösningarna?
Nu har du den där roten. Sätt in den i pq-formeln så är du snart klar.
Laguna skrev:Nu har du den där roten. Sätt in den i pq-formeln så är du snart klar.
Ska jag sätta in de två rötterna istället för (2-i)^2 ?
Alex; skrev:Laguna skrev:Nu har du den där roten. Sätt in den i pq-formeln så är du snart klar.
Ska jag sätta in de två rötterna istället för (2-i)^2 ?
