Andragradsekvation och vanlig ekvation
Hej!
Jag undrar bara vad skillnaden mellan andragradsekvationer och "vanliga" ekvationer är? Går det inte att använda samma metoder för att lösa de båda slags ekvationerna? (Jag förstår om det inte går att lösa andragradsekvationer med hjälp av metoder som man använder i "vanliga" ekvationer, men borde man inte kunna använda andragradsekvationernas metoder till att lösa "vanliga" ekvationer?)
Hoppas jag gjorde mig förstådd!
Tack på förhand!
Vad menar du med vanlig ekvation? Förstagradsekvation?
Det finns också tredjegrads-, fjärdegrads- etc. ekvationer.
Laguna skrev:Vad menar du med vanlig ekvation? Förstagradsekvation?
Det finns också tredjegrads-, fjärdegrads- etc. ekvationer.
Ja precis, förstagradsekvationer, det man lär sig i skolan innan man lär sig andragradsekvationer.
"Ja" skulle jag säga att svaret är. Men man använder PQ-formeln för att den är praktisk. Grunden är dock kvadratkomplettering.
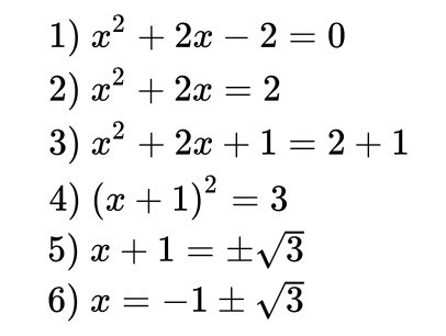
Man använder kvadreringsregeln baklänges. Idén är att justera uttrycket så att det stämmer med kvadreringsregeln. De tal man "får över" flyttar man till höger led:

Det är bra att förstå härledningen av PQ-formeln så att man ser att det inte är någon "magi" inblandad.
Programmeraren skrev:"Ja" skulle jag säga att svaret är. Men man använder PQ-formeln för att den är praktisk. Grunden är dock kvadratkomplettering.
Man använder kvadreringsregeln baklänges. Idén är att justera uttrycket så att det stämmer med kvadreringsregeln. De tal man "får över" flyttar man till höger led:
Det är bra att förstå härledningen av PQ-formeln så att man ser att det inte är någon "magi" inblandad.
Så kvadratkomplettering innebär att man omvandlar en ekvation så att den blir till pq-formeln, d.v.s. x2 + px + q = 0?
Inte riktigt.
Det man uppnår med kvadratkompletteringen är att x bara finns på ett ställe i ekvationen vilket gör att den kan lösas med "vanliga" metoder (som i exemplet). I praktiken använder de flesta PQ-formeln eftersom den är ett "recept" som inte kräver någon djupare tanke.