andragradsekvationer

Hur lyder uppgiften? (Jag ser ju ekvationen, men hur är det meningen att ni ska göra?) Har ni lärt er pq-metoden? Står det att ni ska gissa en lösning?
Jag vet inte hur ska man tänka när x är negativt!? Hur ska jag bli av med detta? Och när det gälla 4??är det så att jag ska dividera med andra siffror?? Alltså 2 och - 7??
Laguna skrev:Hur lyder uppgiften? (Jag ser ju ekvationen, men hur är det meningen att ni ska göra?) Har ni lärt er pq-metoden? Står det att ni ska gissa en lösning?
Jag vet inte hur ska man tänka när x är negativt!? Hur ska jag bli av med detta? Och när det gälla 4??är det så att jag ska dividera med andra siffror?? Alltså 2 och - 7??
Qasem skrev:Laguna skrev:Hur lyder uppgiften? (Jag ser ju ekvationen, men hur är det meningen att ni ska göra?) Har ni lärt er pq-metoden? Står det att ni ska gissa en lösning?
Jag vet inte hur ska man tänka när x är negativt!? Hur ska jag bli av med detta? Och när det gälla 4??är det så att jag ska dividera med andra siffror?? Alltså 2 och - 7??
Börja med att addera 4x^2 till bägge sidor och förenkla.
Addera sedan 7x till bägge sidor och förenkla.
Subtrahera sedan 2 från bägge sidor och förenkla.
Sedan kan du dividera bägge sidor med 4 och förenkla.
Visa dina uträkningar.
Dividera både VL och HL med -4
Men först är det bra att byta ordning på termerna, så att -termen kommer först, och sen x-termen.
SvanteR skrev:Dividera både VL och HL med -4
Men först är det bra att byta ordning på termerna, så att -termen kommer först, och sen x-termen.
Men ska jag dividera 7x/4? Så får jag 1,75x?eller jag jag försätta i bråkform?
Tänker jag rätt om jag skriver så?
X^2+1,75x-0,5=0? Sen försätta jag eller?
Båda sätten funkar. Men ska du lösa den utan miniräknare blir det extremt mycket lättare om du fortsätter med bråkräkning!
SvanteR skrev:Båda sätten funkar. Men ska du lösa den utan miniräknare blir det extremt mycket lättare om du fortsätter med bråkräkning!
OK Svante! men skulle du hjälp mig vidare med lösning? Jag vet inte hur ska jag tänka vidare om det är bråkräkning?
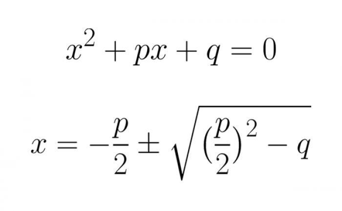
Hej!
Här kan du använda dig av pq-formeln för att lösa ut x.

Qasem skrev:
OK Svante! men skulle du hjälp mig vidare med lösning? Jag vet inte hur ska jag tänka vidare om det är bråkräkning?
Försök! Då ska det stå istället för 1,75 och istället för 0,5.
Ekvationen är då .
Yngve skrev:Qasem skrev:OK Svante! men skulle du hjälp mig vidare med lösning? Jag vet inte hur ska jag tänka vidare om det är bråkräkning?
Försök! Då ska det stå istället för 1,75 och istället för 0,5.
Ekvationen är då .
Ekvationen har fler än en lösning. Om man faktoriserar vänsterled får man (−4x+1)(x+2)=0 om man då tar summan av faktorerna får man −4x+1=0 eller x+2=0 vilket ger att x = 1/4 eller x= -2