Andragradsekvationers konstanter
Hur får man reda på alla konstanter i h(X)=ax^2+Bx+c
med hjälp av nollställen och minimipunkt? Tex har denna ekvation nollställen 4 &-4 samt minimipunkt på (0,-2). I uppgiften ska man lösa h(X) =2,5 förstår att det kan vara lätt att se på en graf eller att rita fram det men vill kunna lösa problemet utan sådan hjälp.
Det finns två sätt:
- Sätt in de punkter du har, och gör ett ekvationssystem. I detta fall skulle vi få ekvationssystemet:
I detta fall är ekvationssystemet formulerat så att vi endast behöver lösa ett ekvationssystem med två variabler (eftersom vi får c direkt), men det kan vara lite krångligare ibland. - Använd faktorsatsen! Ett polynom med nollställena kan skrivas som . Genom att sätta in en punkt som inte är ett nollställe (exempelvis minimipunkten, men det kan vara andra punkter också), kan du hitta k. Utveckla och förenkla sedan högerledet, så kan du läsa av värdena a, b och c. :)
Smutstvätt skrev:Det finns två sätt:
- Sätt in de punkter du har, och gör ett ekvationssystem. I detta fall skulle vi få ekvationssystemet:
I detta fall är ekvationssystemet formulerat så att vi endast behöver lösa ett ekvationssystem med två variabler (eftersom vi får c direkt), men det kan vara lite krångligare ibland.- Använd faktorsatsen! Ett polynom med nollställena kan skrivas som . Genom att sätta in en punkt som inte är ett nollställe (exempelvis minimipunkten, men det kan vara andra punkter också), kan du hitta k. Utveckla och förenkla sedan högerledet, så kan du läsa av värdena a, b och c. :)
Okej är med på vad du menar, men kan du utveckla vad du menar med p(x)=k·(x-x1)(x-x2)·...·(x-xn) vad står det ensamma xet för? Eller xn? För om man använder sig av punkten (0,-2) blir hela uträkningen 0?
Det ensamma x:et är en variabel; precis som x:en i . :)
Smutstvätt skrev:Det ensamma x:et är en variabel; precis som x:en i . :)
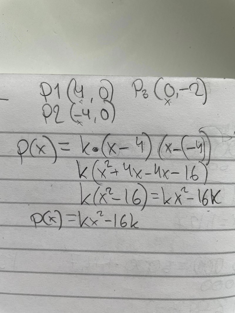
Så långt kom jag innan jag satt fast igen...

Heter funktionen p eller h?
Nu kan du använda att p(0) = -2.
K=0,125? Och sedan vad är k? Vart ska jag sätta inget i den ursprungliga ekvationen?
Nu har du väl hela uttrycket?
Vad menar du med vad är k?
Förstår ej vad jag räknat ut, kan någon snälla hjälpa till och förklara ytterligare?
På sista raden i din bild har du p(x). Vad får du om sätter in ditt värde på k i uttrycket för p(x)?
Laguna skrev:På sista raden i din bild har du p(x). Vad får du om sätter in ditt värde på k i uttrycket för p(x)?
X=4 
Vad händer på tredje raden och senare?