Andragradsfunktion
Jag förstår vad x2-termerna och siffertermerna betyder men inte x-termerna. Ska man kunna det? Alltså att kunna räkna ut vad ekvationen blir med hjälp av en andragradsfunktion.
och vad är skillnaden på grafer med t ex 2x2 än om det hade varit bara x2? Kan man förenkla det till x2 bara?

Hej.
Jag är lite osäker på vad du menar med "vad x-termen betyder".
Vilken ekvation är det du undrar över huruvida du ska kunna räkna ut?
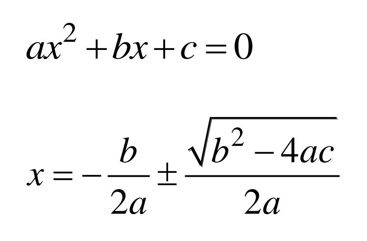
Om du menar en andrgradsekvation på formen så kan du använda lösningsformeln (kallas ibland även abc-formeln) från ditt formelblad:

Svar på din andra ftåga om att rita grafer:
Nej, grafen till y = 2x2 ser annorlunda ut än grafen till y = x2, se bild:

Koefficienten a framför x2-termen bestämmer dels huruvida parabeln ser ut som en ledsen mun (a < 0) eller som en glad mun (a > 0), dels hur pass brant parabeln stiger/sjunker ju längre från symmetrilinjen man kommer (se bild ovan).
okej, men ska man veta vad ekvationen blir genom att titta på dessa grafer som du la upp?
Menar du hur andragradsfunktionen ser ut?
Isåfall är svaret ja.
Vi utgår från det generella f(x) = ax2+bx+c.
Du ser att båda graferna har en minimipunkt vid origo, vilket innebär följande:
- Symmetrilinjen är x = 0, vilket i sin tur innebär att b = 0 eftersom symmetrilinjen ligger vid x = -b/(2a)
- Konstanten c = 0, eftersom f(0) = 0
Funktionen har alltså utseendet f(x) = ax2
Den ena parabeln går genom punkten (1, 1), vilket innebär att f(1) = 1, vilket i sin tur innebär att a*12 = 1, dvs a = 1
Den andra parabeln går genom (1, 2), vilket innebär att f(1) = 2, vilket i sin tur innebär att a*12 = 2, dvs a = 2
Tänkte på t ex. y=x2+12x+41 så vet jag inte varför det blir 12x
Freddie99 skrev:
Tänkte på t ex. y=x2+12x+41 så vet jag inte varför det blir 12x
Vad menar du med "varför det blir 12x"?
I ett generellt andragradsuttryck ax2+bx+c kan konstanten b framför x-termen ha olika värden. Det blir då olika funktioner vars grafer alla ser olika ut.
Exempelvis ser graferna till y = x2+12x+1 och y = x2-6x+3 ut så här:

============
Jämför med linjära funktioner y = kx+m, där konstanten k framför x-termen kan ha olika värden: y = 6x+2 är en annan funktion än y = 11x+3.
Tror att jag kan räkna ut det där med x-termerna. Men om man har en graf uppritad, ska man veta då om det är x2 eller 2x2 t ex bara genom att titta på den?
Du ska kunna avgöra om koefficienten a framför x2-termen är positiv eller negativ bara genom att titta på grafen.
Du ska kunna avgöra om a till beloppet är mindre än, lika med eller större än q bara genom att läsa av funktionsvärdet ett steg till höger eller vänster om symmetrilinjen.
Du ska kunna bestämma både a, b och c med hjälp av avläsningar i grafen där så är möjligt.