Andragradsfunktioner,nollställen, symmertrilinje
Hej, förstår inte hur man löser andragradsfunktioner. Hur löser man första och andra frågan? Behöver hjälp med detta
Börja med att läsa detta kapitel:
https://www.matteboken.se/lektioner/matte-2/andragradsekvationer#!/
De va inte så mycket till hjälp för att förstå uppgifterna jag har på pappret
Den länkade siden och dess undersidor går igenom allt du behöver för att läsa uppgiften.
Den första delsidan https://www.matteboken.se/lektioner/matte-2/andragradsekvationer/andragradsekvationer#!/
går igenom vad en andragradsfunktion är och bl a begreppen nollställen och symmetrilinje.
Är du med på vad begreppen betyder?
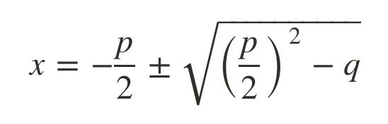
För att hitta nollställena behöver du lösa ekvationen f(x)=0. För att göra det använder du pq-formeln:
https://www.matteboken.se/lektioner/matte-2/andragradsekvationer/pq-formeln#!/
Gör ett försök och visa hur långt du kommer.
Tyvärr förstår jag inte riktigt
De skulle vara till hjälp om du kunde hjälpa istället.
Det är svårt att lära ut ett helt kapitel, jag rekommenderar starkt att du läser i din egen bok eller sidorna jag länkade ovan. Det finns ingen genväg. Speciellt exemplen är viktiga att förstå och man bör inte gå vidare förrän man förstår dem.
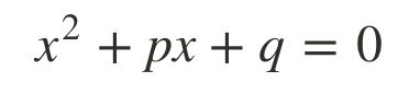
Så här ser funktionen ut:
f(x)=x^2-4x-12
Nollställen är de x där f(X)=0. Du ser troligen i grafen vilka två olika x som get f(x)=0.
Vilka är det?
Men för att räkna ut det behöver du använda PQ-formeln som jag länkade ovan. För en funktion på formen f(x)=
så får du fram lösningarna så här:
Använd formeln för att räkna ut de två rötterna, de x som ger f(x)=0. Vad är p för f(x)=x^2-4x-12? Vad är q?
Visa spoiler
f(x)=x^2-4x-12
f(x)=x^2+px+q
Vilket ger:
p=-4, q=-12
Vi sätter in i PQ-formeln:
Symmetrilinjen är x-värdet mitt emellan de två rötterna. Du kan räkna ut rötterna medelvärde men det enklaste sättet är att använda första halvan av PQ-formeln:
Symmetrilinjen är x=-p/2.
Räkna ut vad det blir och kontrollera i grafen att den ligger mitt emellan rötterna. Du ser att den delar grafen så att häger och vänster sida är varandras spegelbilder.
Arre888 skrev:De skulle vara till hjälp om du kunde hjälpa istället.
Hej,
Förutom att det beskrivs i regelboken, så är det till mycket hjälp för hjälparen om du visar hur du har försökt eftersom det är lättare att se var din svårighet ligger, istället för att annars förklara saker som du redan kan.
/moderator