Ang kontinuerlig stokastisk Variabel med potentiella frekvensfunktion
Hej väldig snällt om nån kan hjälpa mig med denna uppgift 🙏🏽🙏🏽
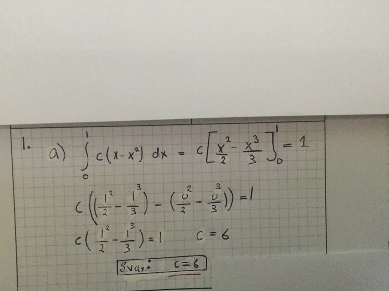
a) Bestäm konstanten c så att f blir en frekvensfunktion?
hoppas ni kan hjälpa mig







Det måste gälla att:
Tusen tack för din svar Tomas .om man tittar på Formelsamlingen för kontinuerliga. vilka av de 4 är det som gäller för denna Är det Normal eller Exponential eller Weibull eller Rektangel?
tomas snälla 🙏🏽🙏🏽Kan du visa ditt räkne sätt så tror jag att jag förstår bättre om vi tar a) uppgiften 🙏🏽🙏🏽
tack så jätte mycket
Hej!
En kontinuerlig slumpvariabel måste inte vara (distribuerad som) en av de fyra som du nämnde, det är bara några vanliga kontinuerliga fördelningar.
Det är inte svårare än tipset du fick från tomast80, bestäm så att
.
Rimligtvis delar du upp integralen,
Därifrån bestämmer du . Notera att i intervallen , så integralerna med dessa gränser är helt enkelt .
Tusen tack för din svar Moffen .hur bestämmer man c så att f blir en frekvensfunktion?
väldig snällt om du kan visa ditt räknesätt på den sista 🙏🏽🙏🏽
tack så mycket Moffen.
charlie2016 skrev:Tusen tack för din svar Moffen .hur bestämmer man c så att f blir en frekvensfunktion?
väldig snällt om du kan visa ditt räknesätt på den sista 🙏🏽🙏🏽
tack så mycket Moffen.
Som jag skrev i mitt tidigare inlägg, bestäm så att . Om det ser krångligt kan du multiplicera in och bryta ut ur integralen, eftersom är en konstant: .
Integrera och bestäm .
Hej Moffen.jag har en sista fråga .innan vi stänger denna tråd .
jag förstår mig nu på din räkne sätt.
jag förstår att c( 1/2^2 - 1/3^3)=1 Men hur kan c=6 ? Var kommer 6 ifrån?
hoppas du kan hjälpa mig med det🙏🏽🙏🏽
Du räknade precis ut vad 6 kommer ifrån?
En täthetsfunktion måste ha area 1, för det är inte möjligt att sannolikheten att något av de möjliga alternativen ska hända är något annat än 1 totalt. Alla funktioner är inte täthetsfunktioner men en del går att anpassa genom att göra lite större/mindre så att de blir det, som du gjorde nu.
Menar du att man tar nämnare multiplicera med nämnare Dvs 2 x 3 =6
Tusen tack datav och Micimakco och Moffen väldig bra förklarad 👍👍👌👌
Visa spoiler
Skriv ditt dolda innehåll här