Ang Mollierdiagrammet
snälla kan nån hjälpa mig med denna uppgift.Vi har det formel som man använder i denna uppgift Q=V * P * (h 2- h 1).
h 1= är luftens entalpi före värmning (kJ/kg)?
h 2= är luftens entalpi efter värmning (kJ/kg)?
Våra andra värde är V= 5,0 m^3/s P=1,2. Vilka är våra h1 och h2 i denna uppgift?


Jag kan inte så mycket om Mollierdiagram.
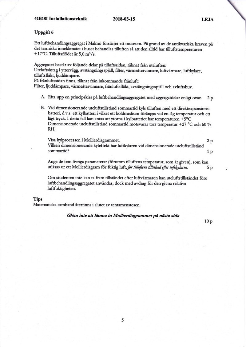
Den dimensionerande kylningen av luften ska väl vara från 27grader/60%RH till 17 grader.
Du tycks ha markerat något annat i diagrammet.
Du har redan startat en tråd om precis samma uppgift (men den här gången har du fått bilderna på rätt håll - jag har låst den gamla tråden. Det är inte tillåtet att dubbelposta, d v s ställa samma fråga flera gånger 8däremot är det tillåtet att bumpa sin gamla tråd om det gått mer än 24 timmar sedan du senast i den. Om du fortsätter bryta mot Pluggakutens regler kan det leda till att du stängs av. /moderator
Ja det som jag har markerat här är fel och det är från tentan.det som jag har lagt ut är fel affe
danielstrong skrev:Ja det som jag har markerat här är fel och det är från tentan.det som jag har lagt ut är fel affe
Gör ett nytt försök, som du tror är rätt.
Ja det är sant.jag skrev helt andra värde på min tenta,därför jag fick 0 poäng
helt rätt 27 grader/ 60% RH till 17 grader..helt rätt affe tusen tack
Ja det jag har markerat här är helt fel .Det är från tentan vi hade .sorry.