4
svar
384
visningar
charlie2016 behöver inte mer hjälp
Ang sannolikheten i en fabrik
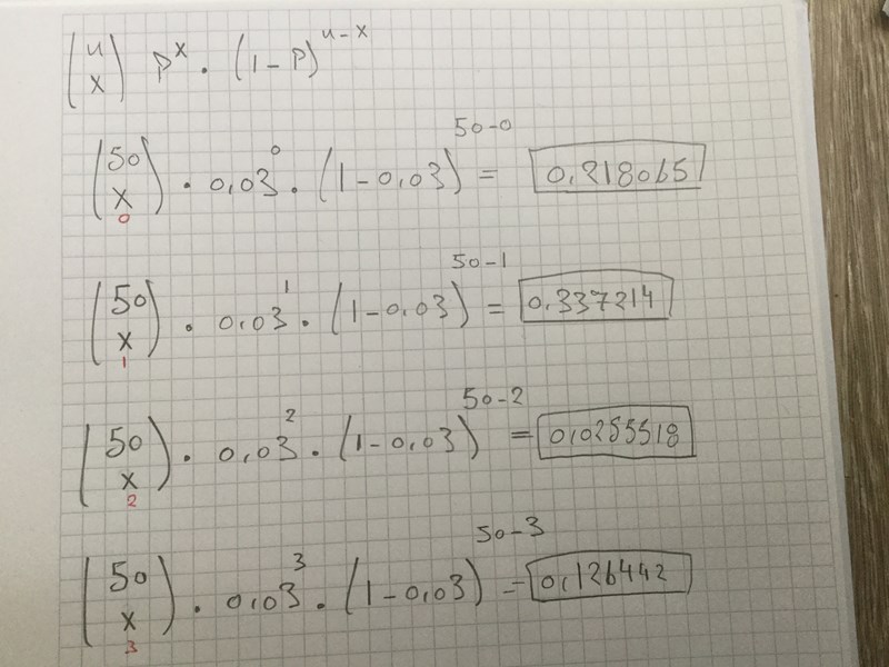
Hej snälla kan ni bara kolla om jag gjort rätt räkne sätt från sannolikhet 0 till 3 ang
Bin (50,0.03)?

Tack så mycket 🙏🏽🙏🏽🙏🏽
Det ska vara:
Tusen tack för din svar Tomast.Är det den formel från Formelsamlingen som jag markerar ?
är det rätt jag har gjort 🙏🏽🙏🏽Jag fick rätt svar tror jag 

Ja, det är den formeln. Ja, du har räknat ut sannolikheten:
Det som efterfrågas är:
Tack Tomast nu fick jag rätt värde på alla .