Ang U (medel-värde) med Lambada-metoden
Hej,som ni ser i exempel uppgiften 6) vi har räknat Värde metoden för Värmekonduktivitet och U-värde metoden,och jag förstår mig på detta.
om vi börjar med uppgift 6) så skall jag förklara dessa värde och underlätta för er.
0.039 är Värmekonduktivitet för mineralull från uppgiften gånger 0,85 mineralull och sen plusar man i 0,14 det är Värmekonduktivitet för trä från tabell gånger 0,15 Trä.
När vi har räknat det så skall vi räkna £=total värmemotstånd=Vi börjar med ute 0,04(Rse) ute * 0,5 m^2k/W det är Fasadskiva utsidan från Utsidan + 0,12 som är Ytterväggen på bilden / 0,05414 som är summa av Värmekonduktivitet Rse + 0,015 /0,13 för Rsi (ute).
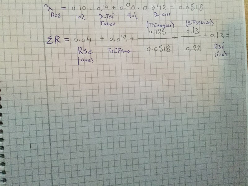
jag skulle behöva hjälp med några värde på uppgift 8)som ni ser jag har markerat med röd penna?jag hoppas ni förstår vad jag menar.I uppgift 6) vi använde oss av (R=0,5 m^2 k/W)Fasadskiva på utsidan.Vilket värde är det på uppgiften 8)?Är det 19 mm Fasad av liggande träpanel eller 38x125 mm träreglar eller 13 mm gipsskiva vi använder oss av?mvh 





Vi har väl redan räknat på denna vägg?
Helt rätt Affe.Tack för det.Blir det bra så🙏🏻
Här kommer mitt räkne sätt.hoppas det är rätt
En del är i det närmaste oläsligt, så kan inte hitta något fel :-)
Jag beklagar verkligen Affe att det är dålig bildkvalite.Här kommer på nytt.Det är bara det att jag missade ett 0 .jag menar 13 mm för gipsskiva skall vara 0,013 här under.
tack affe

Om du vet att du har ett fel i dina beräkningar, varför presenterar du det då?
Jag la ut den först och sen såg jag i min räknesätt efter en halv timme att det fattas en noll..jag tänkte på regler här i pluggakuten att man måste vänta 24 timmar för och ändra På sitt inlägg igen.sorry.tycker du att jag skall vänta fram till imorgon det jag har ändrat och lägga ut på nytt igen.sorry🙏🏻🙏🏻
Nej, charlie2016, om du har något nytt att tillföra, t ex att du har skrivit fel tidigare, så är det helt tillåtet att skriva ett nytt inlägg, eller att redigera ditt tidigare inlägg om det inte gått för lång tid. Det är när man bumpar sin tråd, d v s skriver ett innehållslöst inlägg för att flytta upp tråden i listan, som man måste vänta 24 timmar. /moderator
charlie2016 skrev:Jag beklagar verkligen Affe att det är dålig bildkvalite.Här kommer på nytt.Det är bara det att jag missade ett 0 .jag menar 13 mm för gipsskiva skall vara 0,013 här under.
ja då vet jag om det till nästa gång.jag raderade bort och la på nytt igen min räknesätt
tack

