Ang varaktighetsdiagram
Hej.det jag inte förstår på svaret Är A=1,0(4,3+3,7+3,2+2,7+2,1+1,7+1,2+0,7+0,2)=19,8 cm^2. Hur har han fått de siffror i parantezet? Tack 


Första delen, ungefär fram till tabellen, kan jag inte läsa.
I uppgiften står att tilluften är konstant 17 grader. Det får man betrakta som en akademisk approximation. Din lärare har justerat den approximationen genom att rita en kurva.
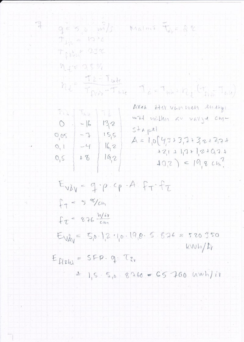
Innetemperaturen är 23 grader och vi antar samma tilluftsflöde som frånluftsflöde genom värmeåtervinnaren. Energiinnehållet i 23-gradigt frånluftsflöde är konstant och ska värma tilluftsflödet som har olika utetemperatur. Tilluftstemperaturen är då inte konstant (17 grader), utan sjunker när utetemperaturen sjunker. Genom att använda formeln för verkningsgrad, har din lärare gjort en enkel tabell som beskriver hur tillufts-temperaturen varierar med utetemperaturen.
Sedan räknar man rutor mellan den nya tillufts-temperatur-kurvan och 8 graders-kurvan för Malmö.
Energi-differensen som motsvarar det som är mellan den nya tillufts-temperatur-kurvan och 23 grader, måste tillföras på annat sätt som t.ex. med direktel.
Hej Affe.Räknar du från den hela rutan vid +10 grader på vänster sida,eller räknar du från den halva rutan ovanför +10 grader?jag menar A=1,0( 4,3+ 3,7+3,2 och följande? Hoppas jag uttrycker mig rätt Affe.
I stapeln längst till vänster mellan -15 och -10grader ser det ut att vara drygt 0.1ruta.
I stapeln längst till vänster mellan -10 och -5grader ser det ut att vara en halv ruta.
Så du tycks se en "poäng", att det är lite mer än 4.3 rutor :-)
Tusen tack Affe.jag få nästan till det med rutorna.jag tror jag börjar och fatta hur man räkna de egentlige
Förlåt jag har bara en sista fråga ang tabellen som vi har dvs T (in)= 0. 0,05. 0,1 0,5 och T (ute)= -16 -7 -4 +8 och T(år)=13,2 15,5. 16,2. 19,2 ? Vart i tabellen ser man dessa värde?kan du vara snäll och förklara de värderande oxå.jätte snällt. Tack
Som jag tidigare skrivit, så är det svårt att läsa vad din lärare har skrivit. Jag får gissa på temperatur-indexen.
Temperatur efter värmeåtervinnare
Frånlufts-temperatur, plus 23grader
Ute-temperatur
Sedan tar vi tabellens första rad
x-axeln:
y-axeln: minus 16 grader...Malmö
y-axeln: ...se formeln ovan
Ja.av tabellen som vi har här förstår jag vad T (in) som är 0 , 0,005. 0,1 och 0,5 sitter i diagrammet.jag förstår inte vart de sitter T(ute) dvs de värde -16. -7 -4 och +8.När det gäller T(år) så förstår jag inte heller hur man få dessa värde dvs 13,2 15,5 16,2 19,2.
danielstrong skrev:Ja.av tabellen som vi har här förstår jag vad T (in) som är 0 , 0,005. 0,1 och 0,5 sitter i diagrammet.jag förstår inte vart de sitter T(ute) dvs de värde -16. -7 -4 och +8.När det gäller T(år) så förstår jag inte heller hur man få dessa värde dvs 13,2 15,5 16,2 19,2.
Vi tar tabellens första rad
x-axeln: Tid=0
y-axeln: = minus 16 grader...Malmö...8-graders-kurvan
y-axeln:
Hej igen Affe.förlåt för sent svar.kan du bara beskriva den andra oxå dvs T (in) = 0,05. T(ute)=-7. T (år) 15,5 räknar man fortfarande på första raden?
Det jag inte förstår är T( in)= 0,05 hur kan det hamna i 0,05?är det fortfarande tabellens första rad? Och även om du kan förklara T(ute)=-7?
Då tar vi tar tabellens andra rad
x-axeln: Tid = 0.05
y-axeln: = minus 7 grader...Malmö...8-graders-kurvan
y-axeln: = −7+(0.75(23−(−7)) = 15.5
Hej Affe .är 0,05 där kurvan lutar ner åt?
Hej igen Affe.det jag inte förstår T(in)=0,005 och T(ute) -7? T(in)= 0,1 T(ute)=-4? Och den sista T(in)=0,5 T(ute)=+8? Annars jag vet hur man räknar T(år).det har jag inga problem med.
jag undar nu är T(in)=0,05 där kurvan lutar ner åt?
tack
danielstrong skrev:Hej igen Affe.det jag inte förstår T(in)=0,005 och T(ute) -7? T(in)= 0,1 T(ute)=-4? Och den sista T(in)=0,5 T(ute)=+8? Annars jag vet hur man räknar T(år).det har jag inga problem med.
jag undar nu är T(in)=0,05 där kurvan lutar ner åt?
tack
x-axeln: Tid = 0.05
Kurvan:
står sannolikt för återvunnen temperatur inte T(år)
Det är helt sant som du säger.förlåt jag skrev fel det är inte T år det är T återvunnen.jag börjar förstå mig på tabellen sakta.jag undrar en sak om du tittar i varaktighetsdiagram så ser du under T(tilluft) 17C ett LV strax över +10 grader.Vad är LV för nåt ? Är det fortfarande tabellen?
Kan du vara snäll och förklara det.jag förstår inte på detta.tack så mycket affe
LV kan stå för t.ex. Luftbehandlings-aggregatets Värme-tillskott.
Det krävs ett energitillskott (t.ex. elvärme) från luftbehandlings-aggregatet för att hålla tilluftstemperaturen på minst 17 grader (som det står i uppgiften). Energitillskottet motsvaras i så fall av det lilla streckade området "LV".
Tack.jag undrar en sak om man skall räkna Arean så får man 4,3 rutor på första raden.Räknar man tillufts-temperatur -kurvan och 8 grads kurvan för malmö eller räknar man strax under LV
danielstrong skrev:Tack.jag undrar en sak om man skall räkna Arean så får man 4,3 rutor på första raden.Räknar man tillufts-temperatur -kurvan och 8 grads kurvan för malmö eller räknar man strax under LV
För att räkna ut den återvunna energin räknar man rutor mellan 8-grads-kurvan och den uträknade och tabellerade kurvan som i början är "strax under LV".
Tusen tusen tack affe