Ange en formel un som funktion av n
Hej!
Jag skulle behöva vägledning här. Hur börjar man? Jag ser ingen mönster här riktigt.
-1-(1).jpg?width=800&upscale=false)
Nu är min linjära algebra inte vad den brukade vara, men jag skulle nog börja med att definiera en matris A som motsvarar avbildningen F. Därefter skulle jag fundera på vad blir. :)
Smutstvätt skrev:Nu är min linjära algebra inte vad den brukade vara, men jag skulle nog börja med att definiera en matris A som motsvarar avbildningen F. Därefter skulle jag fundera på vad blir. :)
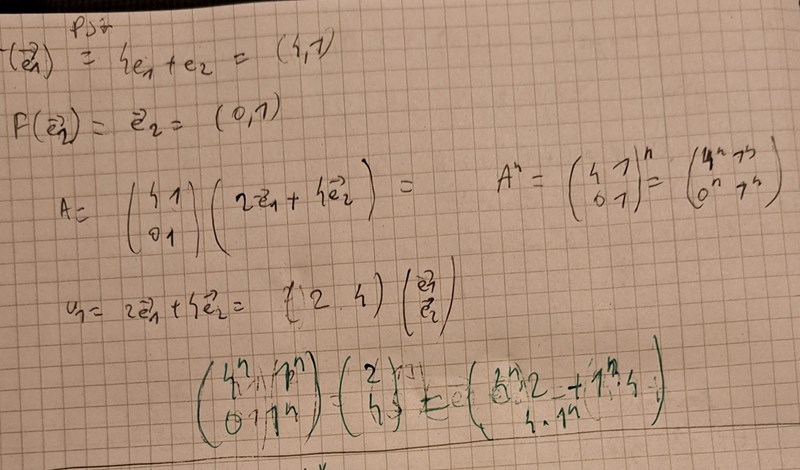
Du menar en matris A= (4 1 0 1)? Då ska vi multiplicera A med ( 2e1 ,4e2)?
Ja, så tänker jag. Om , och , då borde väl ? :)
Smutstvätt skrev:Ja, så tänker jag. Om , och , då borde väl ? :)
så?
Jag får A till att bli
4 0
1 1
(berätta att du skriver från mobilen, utan att berätta att du skriver från mobilen 😄)
Därefter, blir verkligen samma sak som att upphöja alla element i A med n? :)
Smutstvätt skrev:Jag får A till att bli
4 0
1 1
(berätta att du skriver från mobilen, utan att berätta att du skriver från mobilen 😄)
Därefter, blir verkligen samma sak som att upphöja alla element i A med n? :)
Jag ser ej hur du får ( 1 1) där ? Jag använde koordinaterna för F(e2) eftersom det står att det är lika med e2. Jag vet ej var e1 tog vägen så jag antog att den är 0.
Oj det var en bra fråga. Jag vet faktiskt ej. Det var en gissning bara.
A blir väl så för att de transformerade enhetsvektorerna ställs upp vertikalt i A?
Där är transformationen av F appliceras på enhetsvektorn .
För tolkar jag det på samma sätt - förändras inte av F. :)
Tillägg: 29 dec 2023 10:28
Ledsen för ful bild - är på vift och kan inte skriva matriser i latex. :(
Smutstvätt skrev:A blir väl så för att de transformerade enhetsvektorerna ställs upp vertikalt i A?
Där är transformationen av F appliceras på enhetsvektorn .
För tolkar jag det på samma sätt - förändras inte av F. :)
Tillägg: 29 dec 2023 10:28
Ledsen för ful bild - är på vift och kan inte skriva matriser i latex. :(
Nu kanske jag är ute och cyklar ,men e2 kan skrivas som F(e1)-4e1. Så F(e2)=F(e1)-4e1. Om det ej är hjälpsamt vet jag tyvärr ej. Men F(e2)=e2 är ju då ( 0, 1) eller vad är den annars??
Ahaaa oj.. jag menade att F(e1) har koordinater ( 4 1) och den andra F(e2) är ju ( 01) så jag hade rätt hela tiden men skrev bara upp fel matris.
Ahaaa oj.. jag menade att F(e1) har koordinater ( 4 1) och den andra F(e2) är ju ( 01) så jag hade rätt hela tiden men skrev bara upp fel matris.
Ursäkta om jag var otydlig, jag håller med dig om koordinatorerna. De har bara hamnat lite fel i matrisen. :)
Smutstvätt skrev:
Ahaaa oj.. jag menade att F(e1) har koordinater ( 4 1) och den andra F(e2) är ju ( 01) så jag hade rätt hela tiden men skrev bara upp fel matris.
Ursäkta om jag var otydlig, jag håller med dig om koordinatorerna. De har bara hamnat lite fel i matrisen. :)
Ingen fara! Jag fick nu såhär enligt bilden ovan.
Jag håller med om vänsterledet, men hur kommer du till högerledet? Vad blir enligt dina beräkningar? :)
Smutstvätt skrev:Jag håller med om vänsterledet, men hur kommer du till högerledet? Vad blir enligt dina beräkningar? :)
Jag gjorde bara matrismultiplikation men jag vet ej om jag borde ha gjort såhär istället
(4)^n*2+(0)^n*4 =(4)^n*2
(1)^n*2+(1)^n*4=(1)^n*2+4*(1)^n
Njae, prova med , vad blir ? :)
Smutstvätt skrev:Njae, prova med , vad blir ? :)
A^3? Det kluriga är att det står okänd n.
Det gör det, min poäng med var att påpeka att inte är samma sak som att ta alla element i A upphöjt till n. För att beräkna behöver du diagonalisera A, och sedan beräkna den matrisprodukten upphöjt till n.
Diagonalisering brukar användas när matriser upphöjs till tal mer än 3 eller 4, på grund av att det underlättar beräkningarna enormt. :)
Smutstvätt skrev:Det gör det, min poäng med var att påpeka att inte är samma sak som att ta alla element i A upphöjt till n. För att beräkna behöver du diagonalisera A, och sedan beräkna den matrisprodukten upphöjt till n.
Diagonalisering brukar användas när matriser upphöjs till tal mer än 3 eller 4, på grund av att det underlättar beräkningarna enormt. :)
Vi har ej gått igenom diagonalisering i vår kurs dessvärre.
För just denna matris finns det faktiskt ett mönster, ser jag nu, som kan ses utan att behöva diagonalisera. Men det kräver lite pillande. Vad är ? Vad är ? ? Ser du något mönster? :)
Smutstvätt skrev:För just denna matris finns det faktiskt ett mönster, ser jag nu, som kan ses utan att behöva diagonalisera. Men det kräver lite pillande. Vad är ? Vad är ? ? Ser du något mönster? :)
Hm A^2=A*A osv ? Men jag är osäker vad det är för mönster ,kanske A^n*A^(n+1)?
destiny99 skrev:Smutstvätt skrev:För just denna matris finns det faktiskt ett mönster, ser jag nu, som kan ses utan att behöva diagonalisera. Men det kräver lite pillande. Vad är ? Vad är ? ? Ser du något mönster? :)
Hm A^2=A*A osv ?
Jo, det stämmer, men mönstret jag tänker på är unikt för just matrisen A. Prova att beräkna värdena, hur ser de matriserna ut?
Smutstvätt skrev:destiny99 skrev:Smutstvätt skrev:För just denna matris finns det faktiskt ett mönster, ser jag nu, som kan ses utan att behöva diagonalisera. Men det kräver lite pillande. Vad är ? Vad är ? ? Ser du något mönster? :)
Hm A^2=A*A osv ?
Jo, det stämmer, men mönstret jag tänker på är unikt för just matrisen A. Prova att beräkna värdena, hur ser de matriserna ut?
Jaha okej. Jag väljer att räkna bara upp till A^2 eftersom A^3 kräver mer beräkning. Men detta är i alla fall vad jag fått.

Om du gör A3 också kanske man ser mönstret.
Laguna skrev:Om du gör A3 också kanske man ser mönstret.
Ja den fick jag till (64 21 0 1)
Om du undviker att förenkla exempelvis när du räknar, ser du något mönster som framträder då? Mönstren är olika för alla element, ska sägas.
Smutstvätt skrev:Om du undviker att förenkla exempelvis när du räknar, ser du något mönster som framträder då? Mönstren är olika för alla element, ska sägas.
Jaa det gör jag. 4^n och sen 4^n+1? Det är dessa mönster jag ser
Vi har att An ser ut att ha formen
An = .
Frågan är hur man skall hitta enkelt uttryck för komponenten an.
Det går att härleda en rekursionsformel för an.
a1 = 1
an+1 = 4n + an.
Mha detta så går det att härleda ett explicit uttryck för hur an beror av n.
Är du säker på att ni inte gått igenom diagonalisering?
PATENTERAMERA skrev:Vi har att An ser ut att ha formen
An = .
Frågan är hur man skall hitta enkelt uttryck för komponenten an.
Det går att härleda en rekursionsformel för an.
a1 = 1
an+1 = 4n + an.
Mha detta så går det att härleda ett explicit uttryck för hur an beror av n.
Är du säker på att ni inte gått igenom diagonalisering?
Nej vi har ej gått igenom diagnolisering i kursen i alla fall ej inom matematik I på SU.
Jag är ej med på rekursionsformel metoden
Säg att du räknat fram An och fått An = .
Du vill beräkna An+1.
An+1 = AAn = = … . Vad får du an+1 till?
Har ni gått igenom egenvärden och egenvektorer?
PATENTERAMERA skrev:Har ni gått igenom egenvärden och egenvektorer?
Nope
PATENTERAMERA skrev:Säg att du räknat fram An och fått An = .
Du vill beräkna An+1.
An+1 = AAn = = … . Vad får du an+1 till?
Men varför står det a^n under 4^n?
Om du inte förenklar efter varje steg (det är inte särskilt intuitivt, men i detta fall hjälper det), får du att:
Så verkar vara en vektor med elementen och (där den senare är en geometrisk summa med n termer och ), samt 0 och 1. :)
Smutstvätt skrev:Om du inte förenklar efter varje steg (det är inte särskilt intuitivt, men i detta fall hjälper det), får du att:
Så verkar vara en vektor med elementen och (där den senare är en geometrisk summa med n termer och ), samt 0 och 1. :)
Okej så A^n är=4*( 4^n-1)/(4-1)
Nästan! i den geometriska summan, men i övrigt stämmer det. Så vad blir då ? :)
Smutstvätt skrev:Nästan! i den geometriska summan, men i övrigt stämmer det. Så vad blir då ? :)
Vad är a1 i vårt fall? Såhär fick jag

destiny99 skrev:PATENTERAMERA skrev:Säg att du räknat fram An och fått An = .
Du vill beräkna An+1.
An+1 = AAn = = … . Vad får du an+1 till?
Men varför står det a^n under 4^n?
Det står inte a upphöjt till n, utan n är ett index. an är (An)21. Dvs ett av elementen i matrisen An.
PATENTERAMERA skrev:destiny99 skrev:PATENTERAMERA skrev:Säg att du räknat fram An och fått An = .
Du vill beräkna An+1.
An+1 = AAn = = … . Vad får du an+1 till?
Men varför står det a^n under 4^n?
Det står inte a upphöjt till n, utan n är ett index. an är (An)21. Dvs ett av elementen i matrisen An.
Hur beräknar jag A^(n+1)? Såhär fick jag

Precis. Och vi ser då att an+1 = (An+1)21 = 4n + an. Vilket således ger rekursionsformeln. Men det är nog enklare att göra som smutstvätt, eftersom det står ganska klart att man får en geometrisk summa.
PATENTERAMERA skrev:Precis. Och vi ser då att an+1 = (An+1)21 = 4n + an. Vilket således ger rekursionsformeln. Men det är nog enklare att göra som smutstvätt, eftersom det står ganska klart att man får en geometrisk summa.
Ok. Jag väntar svar från smutstvätt då. Systemet säger att jag har fel svar
destiny99 skrev:Smutstvätt skrev:Nästan! i den geometriska summan, men i övrigt stämmer det. Så vad blir då ? :)
Vad är a1 i vårt fall? Såhär fick jag
Jag får det till , så det talar för att svaret är , stämmer inte det? :)
Tillägg: 29 dec 2023 23:27
Det går även att förenkla till , vilket kanske systemet önskar sig istället.
Smutstvätt skrev:destiny99 skrev:Smutstvätt skrev:Nästan! i den geometriska summan, men i övrigt stämmer det. Så vad blir då ? :)
Vad är a1 i vårt fall? Såhär fick jag
Jag får det till , så det talar för att svaret är , stämmer inte det? :)
Tillägg: 29 dec 2023 23:27
Det går även att förenkla till , vilket kanske systemet önskar sig istället.
Hur får du 4^n och 4^n-1/3? Varför har du och jag ej samma värden? Vad gör jag för fel?
Och nej ditt svar är ej korrekt.

Smutstvätt skrev formeln för un+1. Man vill ha un.
PATENTERAMERA skrev:Smutstvätt skrev formeln för un+1. Man vill ha un.
Ja det märkte jag ej ens men hur kommer jag på vad un är då? Och varför får jag un+1 när frågan handlar om un?
Du ersätter väl bara n med n - 1 överallt i formeln. Inte så svårt.
PATENTERAMERA skrev:Du ersätter väl bara n med n - 1 överallt i formeln. Inte så svårt.
Men varför har smutstvätt börjat med 4^n i geometriska serien och sen skrivit att det un+1 när själva frågan handlade om att hitta un? Det måste ha blivit ett missförstånd här. och nu säger du att jag ska byta allt mot un-1. Det är lite förvirrande nu känner jag. Jag håller ej på med uppgiften ännu tills jag märker att det är förståeligt från min sida vad som händer.
Det står i texten att un+1 = F(un) = enligt vår analys = Anu1.
Så uppenbart har vi då att un = An-1u1.
PATENTERAMERA skrev:Det står i texten att un+1 = F(un) = enligt vår analys = Anu1.
Så uppenbart har vi då att un = An-1u1.
Jag vet ej om jag är helt med här. Men om man har A^n-1 och mutliplicerar med u1 så har man svaret i un? Jag ser ej att vi har en analys med A^n-1,men antar att du tog den för att vi ska få svaret i un.
destiny99 skrev:PATENTERAMERA skrev:Du ersätter väl bara n med n - 1 överallt i formeln. Inte så svårt.
Men varför har smutstvätt börjat med 4^n i geometriska serien och sen skrivit att det un+1 när själva frågan handlade om att hitta un?

Jag läste fel. :(
Det måste ha blivit ett missförstånd här. och nu säger du att jag ska byta allt mot un-1. Det är lite förvirrande nu känner jag. Jag håller ej på med uppgiften ännu tills jag märker att det är förståeligt från min sida vad som händer.
Nu har vi räknat med , men vi behöver hitta .
Skillnaden är inte så stor – A blir . :)
Smutstvätt skrev:destiny99 skrev:PATENTERAMERA skrev:Du ersätter väl bara n med n - 1 överallt i formeln. Inte så svårt.
Men varför har smutstvätt börjat med 4^n i geometriska serien och sen skrivit att det un+1 när själva frågan handlade om att hitta un?
Jag läste fel. :(
Det måste ha blivit ett missförstånd här. och nu säger du att jag ska byta allt mot un-1. Det är lite förvirrande nu känner jag. Jag håller ej på med uppgiften ännu tills jag märker att det är förståeligt från min sida vad som händer.
Nu har vi räknat med , men vi behöver hitta .
Skillnaden är inte så stor – A blir . :)
Ingen fara. Men varför un-1? Det är just det jag ej förstår. Det var väldigt tydligt när du skrev un+1=F(un). Jag antar att vi ska multiplicera An-1 med u1= (2,4) för att få svaret?
destiny99 skrev:Smutstvätt skrev:destiny99 skrev:PATENTERAMERA skrev:Du ersätter väl bara n med n - 1 överallt i formeln. Inte så svårt.
Men varför har smutstvätt börjat med 4^n i geometriska serien och sen skrivit att det un+1 när själva frågan handlade om att hitta un?
Jag läste fel. :(
Det måste ha blivit ett missförstånd här. och nu säger du att jag ska byta allt mot un-1. Det är lite förvirrande nu känner jag. Jag håller ej på med uppgiften ännu tills jag märker att det är förståeligt från min sida vad som händer.
Nu har vi räknat med , men vi behöver hitta .
Skillnaden är inte så stor – A blir . :)
Ingen fara. Men varför un-1? Det är just det jag ej förstår. Det var väldigt tydligt när du skrev un+1=F(un). Jag antar att vi ska multiplicera An-1 med u1= (2,4) för att få svaret?
Uppgiften ger en rekursiv formel i form av , så det innebär att steget innan dess, för att hitta , blir .
Vi försöker hitta en formel som inte är rekursiv, som vi har kommit fram till är lika med . :)
Smutstvätt skrev:destiny99 skrev:Smutstvätt skrev:destiny99 skrev:PATENTERAMERA skrev:Du ersätter väl bara n med n - 1 överallt i formeln. Inte så svårt.
Men varför har smutstvätt börjat med 4^n i geometriska serien och sen skrivit att det un+1 när själva frågan handlade om att hitta un?
Jag läste fel. :(
Det måste ha blivit ett missförstånd här. och nu säger du att jag ska byta allt mot un-1. Det är lite förvirrande nu känner jag. Jag håller ej på med uppgiften ännu tills jag märker att det är förståeligt från min sida vad som händer.
Nu har vi räknat med , men vi behöver hitta .
Skillnaden är inte så stor – A blir . :)
Ingen fara. Men varför un-1? Det är just det jag ej förstår. Det var väldigt tydligt när du skrev un+1=F(un). Jag antar att vi ska multiplicera An-1 med u1= (2,4) för att få svaret?
Uppgiften ger en rekursiv formel i form av , så det innebär att steget innan dess, för att hitta , blir .
Vi försöker hitta en formel som inte är rekursiv, som vi har kommit fram till är lika med . :)
Okej så ska bara byta ut A^n mot An-1 som du gjorde ovan ?
Japp, då bör du få rätt svar! :)
Smutstvätt skrev: