Ange en funktion
Hej! Jag Hasse behövt lite hjälp med följande uppgift:

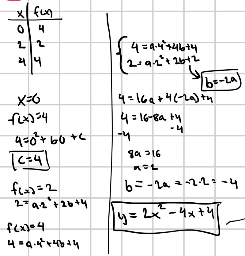
Vi har ju två punkter på samma y-värde: (0,4) och (4,4), vilket skulle betyda att symmetrilinjen ligger mellan dess x-värden, dvs xsym=2
Den tredje koordinaten ligger på symmetrilinjen, så det betyder att det är parabelns extrempunkt.
Jag läste om någon metod där man kan läsa av funktionens extrempunkt om man kvadratkompletterar funktionsuttrycket, men jag vet inte hur det skulle gå till. Kvadratkomplettering i sig är ju inte svårt, men ska man isf bara kvadratkomplelttera uttrycket som det står i frågan, med konstanter och allt, och sedan titta på var man kan sätta in extrempunktens koordinater för att sedan veckla ut uttrycket igen? Eller är det en omväg? Finns det kanske något kortare/enklare som det är ”tänkt” att man ska göra?
Tack på förhand :)
Det finns i alla fall ett rätt snabbt sätt, nu när du har tre punkter och tre okända.
Börja med att sätt in (0, 4). Då har du ditt c.
Sedan kan du sätta in de två andra punkterna. Det ger dig två ekvationer med två okända, A och b.
Jag får c=4. Jag tolkade din ledtråd som att man ska sätta upp ett ekvationssystem, så jag gjorde det, löste för a och b genom substitutionsmetoden och kom fram till funktionen f(x)=2x^2-4x+4
Japp! Konstanten c=4. Har du provat att sätta in de tre punkterna du fick i uppgiften?
Nej, men jag borde absolut göra det, jag gör det nu :)
KlmJan skrev:Nej, men jag borde absolut göra det, jag gör det nu :)
Det är alltid bra vid ekvationslösning.
Jag måste gjort något fel, sätter jag in (0,4) gäller likheten, men för de övriga två punkterna gäller det inte. För saken skull, här är min uträkning:
Visst är det bra att kontrollera sin lösning? Det tar inte lång tid och man kan upptäcka att något inte riktigt stämmer.
I det här fallet har ditt c plötsligt bytt värde.

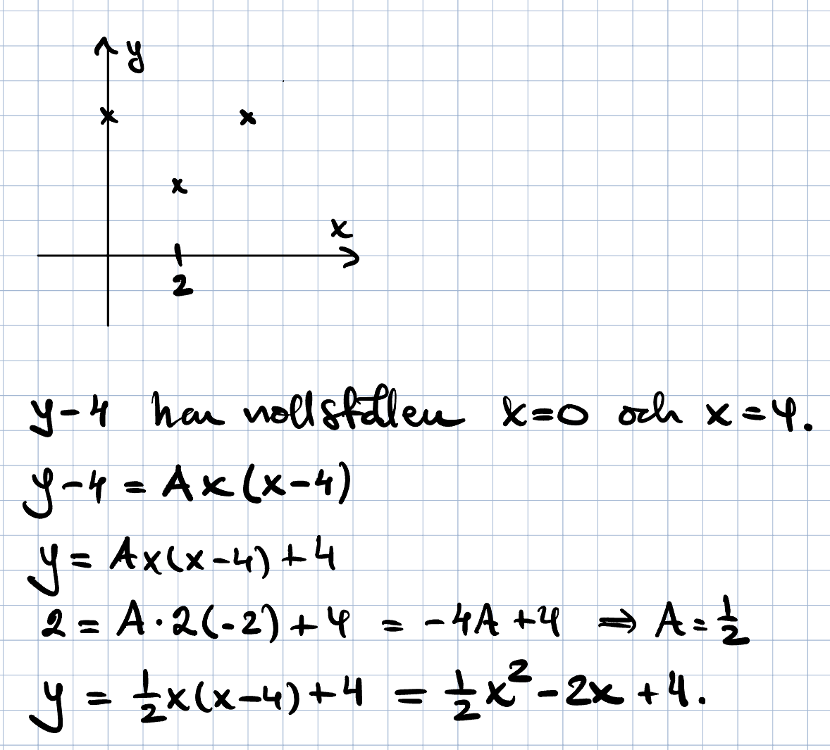
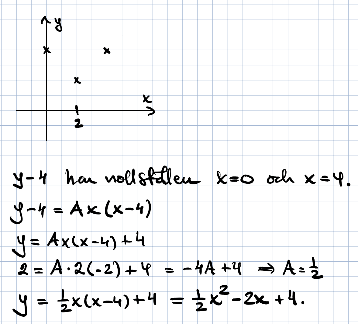
Trinity2 skrev:
Jag skulle PRECIS lägga upp bild på min lösning haha, skönt att jag fick rätt nu:
sictransit skrev:Visst är det bra att kontrollera sin lösning? Det tar inte lång tid och man kan upptäcka att något inte riktigt stämmer.
I det här fallet har ditt c plötsligt bytt värde.
Det är det verkligen! Ibland önskar man att det fanns nog med tid på provet för att göra det på varje uppgift, då hade man aldrig förlorat några poäng på sådana fel :) Men Detta ska jag ta med mig till provet imorgon :)
Jättebra! Att testa ett par värden tar inte så mycket tid. Stämmer det inte behöver du revidera lösningen. Kanske finns det inte tid till det, men fel svar ger väl inte så många poäng heller.
Lycka till imorgon.
Tack!


