3 svar
149 visningar
Freedom 514 – Fd. Medlem
Postad: 27 okt 2020 21:05

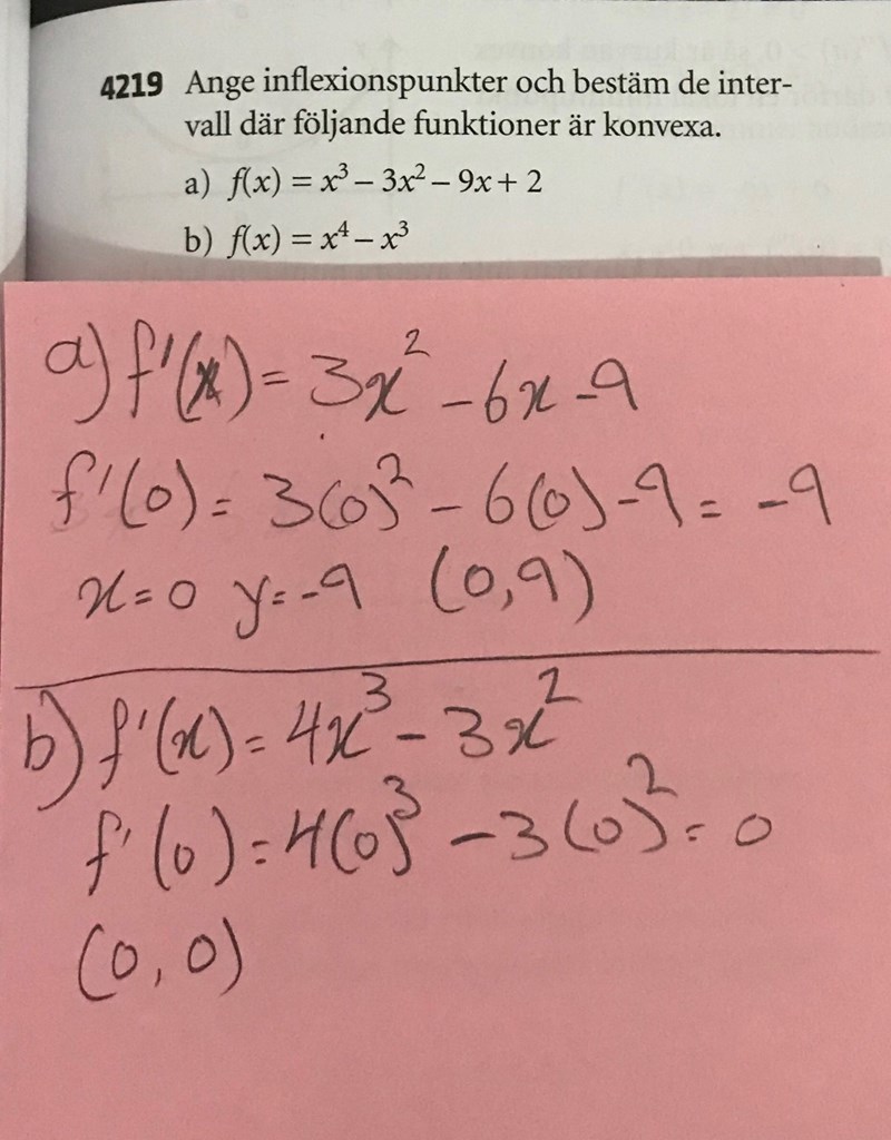
Ange inflexionspunkter...

Hej!

Jag vet inte hur mycket har gjort rät men resten är fastnat!

Tack för hjälpen.

Laguna Online 32140
Postad: 27 okt 2020 21:13

Deriveringarna är rätt, men inflexionspunkt har du där andraderivatan är noll.

Freedom 514 – Fd. Medlem
Postad: 27 okt 2020 21:33
Laguna skrev:

Deriveringarna är rätt, men inflexionspunkt har du där andraderivatan är noll.

Tack för svar!

jag har gjort det igen om det är rät!!! men fortfarande 

förstår inte facitet, var kommer de här siffrorna?

Laguna Online 32140
Postad: 27 okt 2020 22:39

0,5? Det är den andra roten till 12x2-6x = 0.

Svara
Close