1
svar
53
visningar
Ange lösningar från en ekvation inom ett intervallet
Hej, jag har frågan:
Ange de lösningar till ekvationen från tidigare fråga som tillhör intervallet
jag har löst ekvationen men förstår inte hur jag ska tänka med intervallet, någon som kan hjälpa mig förstå? :)
ekvationen såg ut såhär:
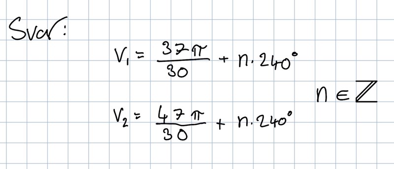
och jag fick lösningarna:

LucasBaun skrev:Hej, jag har frågan:
Ange de lösningar till ekvationen från tidigare fråga som tillhör intervallet
jag har löst ekvationen men förstår inte hur jag ska tänka med intervallet, någon som kan hjälpa mig förstå? :)
ekvationen såg ut såhär:
och jag fick lösningarna:
Du måstte ange även perioden i enheten radianer!