Angöra konvergens
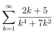
Jag ska angöra konvergens för följande serie:
Jag gör detta genom: som är konvergent enligt sats. Är detta ett korrekt sätt att avgöra konvergens? i lösningsförslaget gör dom nämligen på ett lite annorlunda sätt: 
Hur kan du veta att 2k/k4 är större än (2k+5)/(k4+7k2), term för term (antar jag)?
Smaragdalena skrev:Hur kan du veta att 2k/k4 är större än (2k+5)/(k4+7k2), term för term (antar jag)?
Ja det har du rätt i, det har jag faktiskt inte tänkt på. Jag tänkte bara att 5 och 7k^2 hade så lite inverkan på hela kvoten när k går mot oändligheten. Så jag bröt ut de termer som dominerar, men jag vet inte riktigt hur jag ska tänka vid såna här uppgifter
Om du vill tänka på det sättet att saker är för små för att spela roll kan du använda jämförelsekriteriet på gränsvärdesform. Det brukar jag ta fram så fort det frågas om konvergens.
Då har du hittat din jämförelseserie med termerna b_k=2k/k^4 genom att bryta ut det som spelar roll i täljare och nämnare.
Micimacko skrev:Om du vill tänka på det sättet att saker är för små för att spela roll kan du använda jämförelsekriteriet på gränsvärdesform. Det brukar jag ta fram så fort det frågas om konvergens.
Då har du hittat din jämförelseserie med termerna b_k=2k/k^4 genom att bryta ut det som spelar roll i täljare och nämnare.
Tack så mycket!
Så du menar typ , och sen undersöker jag
Precis. Kom ihåg att räkna ut gränsvärdet mellan dem också. Står i repetitionskompendiet på hemsidan hur du ställer upp det.