ANT, Rörelse och acceleration
Hej! Har försökt så länge med den här uppgiften men förstår inte hur jag ska lösa den. Har kollar på andras lösningar men fattar inte. Det enda som makar sense i mitt huvud är att i början har bulten och raketen samma acceleration o sen får bulten accelerationen 9,82

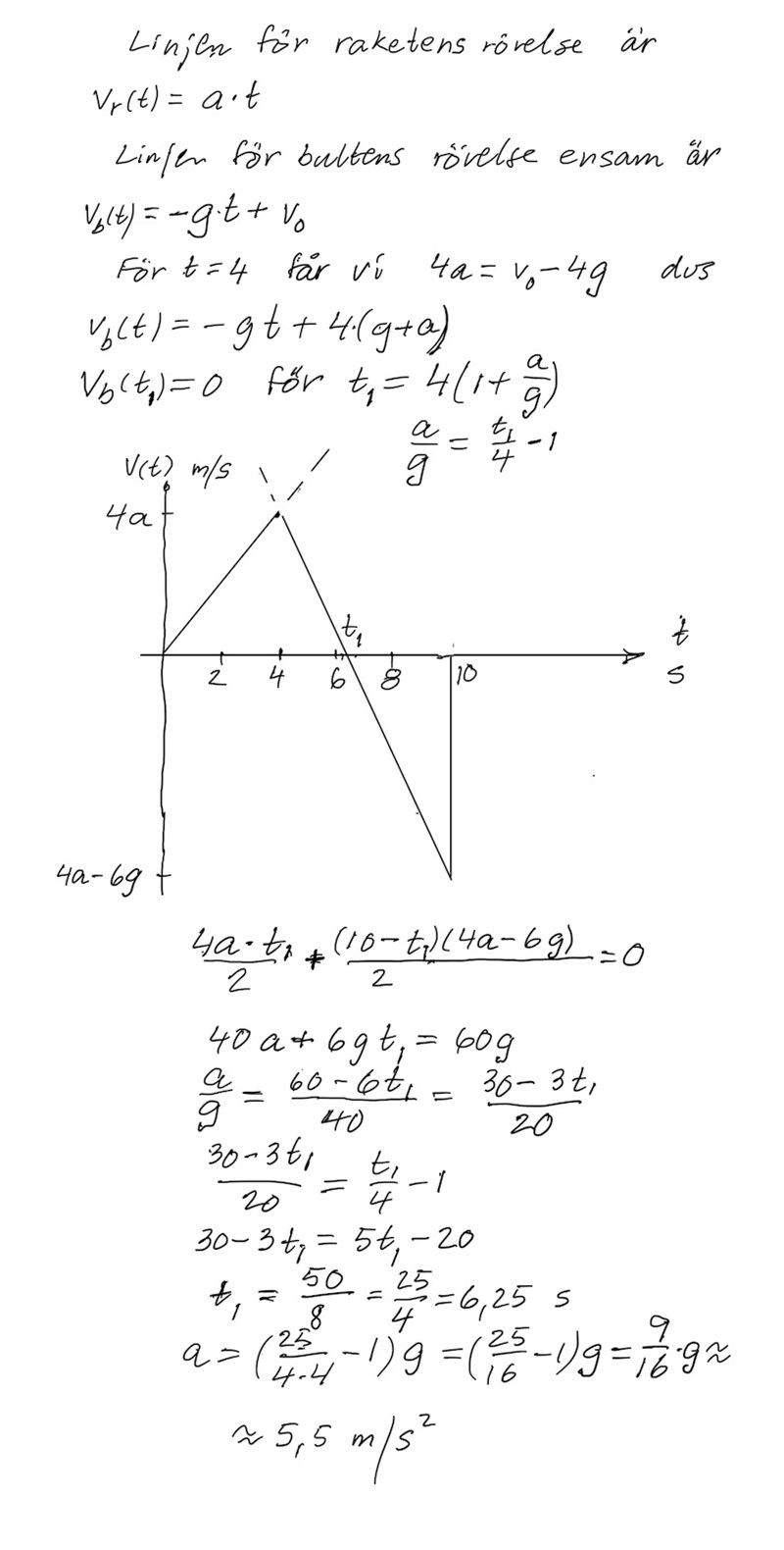
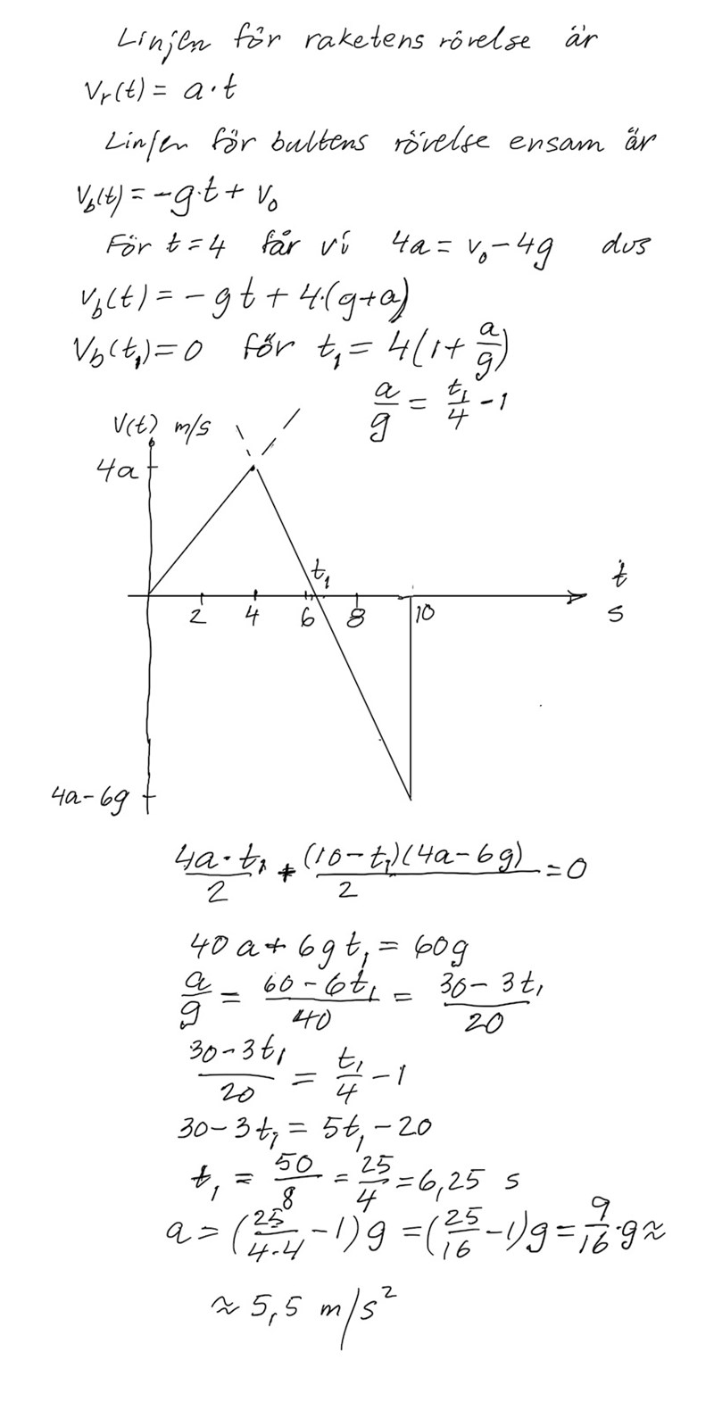
Du får införa en variabel a för raketens acceleration. Efter 4 sekunder har den farten v och höjden h. Sedan lossnar bulten och har farten v på höjden h. Efter 6 sekunder till har bulten höjden 0. Ställ upp alla relevanta ekvationer.
För den här typen av uppgifter underlättar det ofta att använda sig av hastighet-tidsdiagram (v-t diagram). Man slipper då andragradsekvationer av t och får linjära samband som ofta leder till att sträckor kan ses som geometriska ytor.
