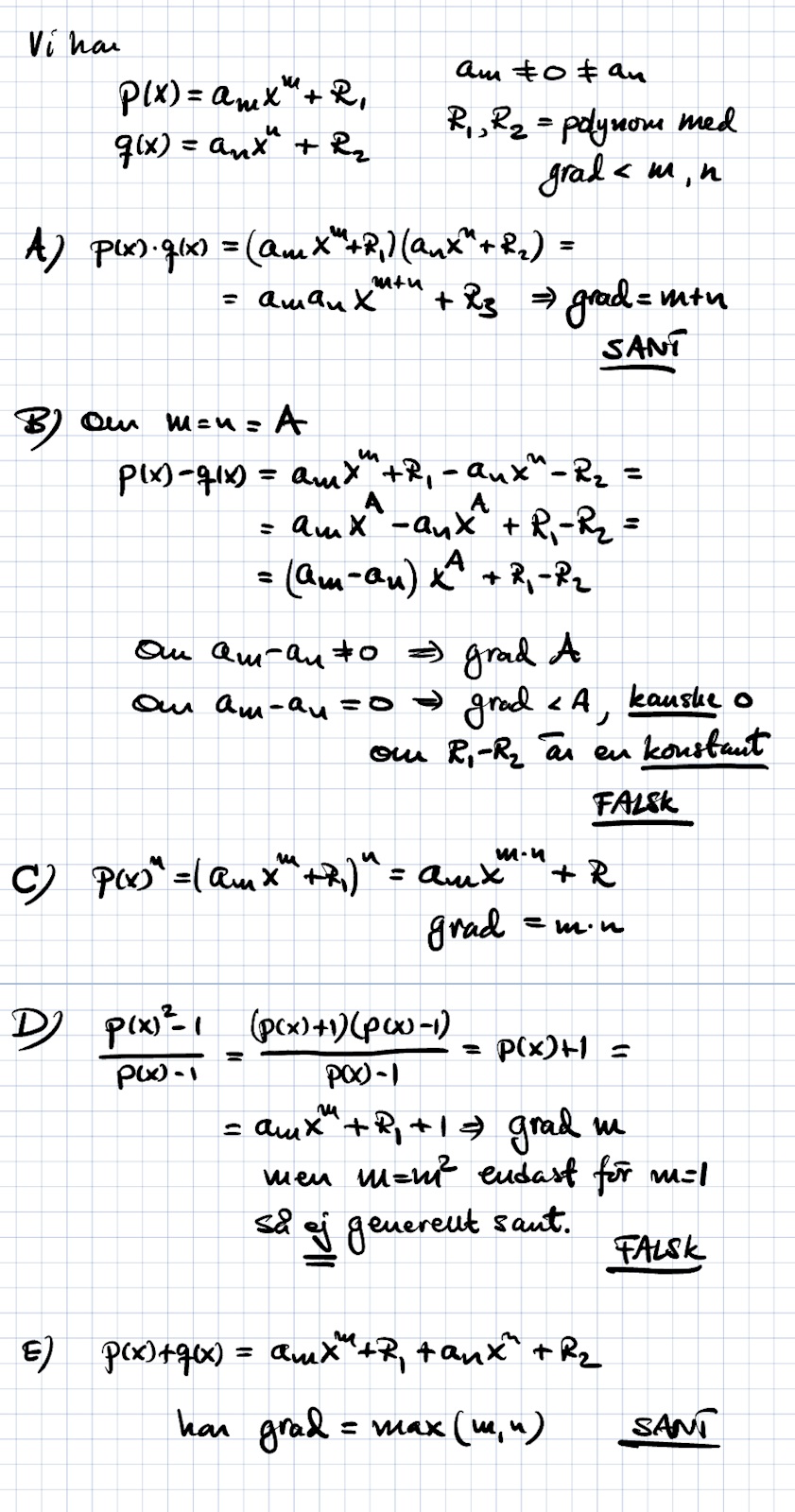
antag att p(x) är ett polynom av grad m och q(x) är ett polynom av grad n

graden på ett polynom är väl exponenten? ska jag börja med att hitta på ett polynom, tex x2 + x + 1 och testar dessa scenarion?
a. då får jag tex att (x2 + x + 1)(x2 + x + 1) = x4 +2x3 + 3x2 + 2x + 1 och det stämmer väl på första påståendet? exponenterna adderas med varandra vid multiplikation
b.. andra måste väl stämma eftersom de tar ut varandra (x2 + x + 1)-(x2 + x + 1)
c. tredje stämmer enligt potenslagarna?
d. ((x2 + x + 1)2 - 1) / ((x2 + x + 1) - 1) = x2 + x + 1, så det stämmer inte?
e. (x3 + x + 1) + (x2 + x + 1) = x3 + x2 + 2x +2
m är 3 och n är 2, och svaret är 3 som är det största talet mellan dem? eller förstår jag frågan fel?
Det är bra att testa och med olika polynom. Hittar man något p och q där påståendet inte stämmer så vet man att påståendet är falskt. Men hur många du än testar kan du aldrig visa att ett påstående är sant.
Så B kan testas med p = 3x+2 och q = 2x+1.
D kan testas med p = x3
Sedan blir det litet jobbigare.
Låt p(x) = amxm + … + a0 och q(x) = bnxn + … + b0 där am och bn är skilda från noll. Testa utsagorna A, C och E.
hej, vad är då den effektivaste metoden att lösa dessa på? ska jag testa en massa olika polynom till jag hittar ett som bevisar att det är falskt? eller finns det andra sätt att visa det på?
Och jag förstår inte det sista du skreb
Snyggt
