Antal kombinationer
Hej!
Behöver hjälp med denna uppgift:
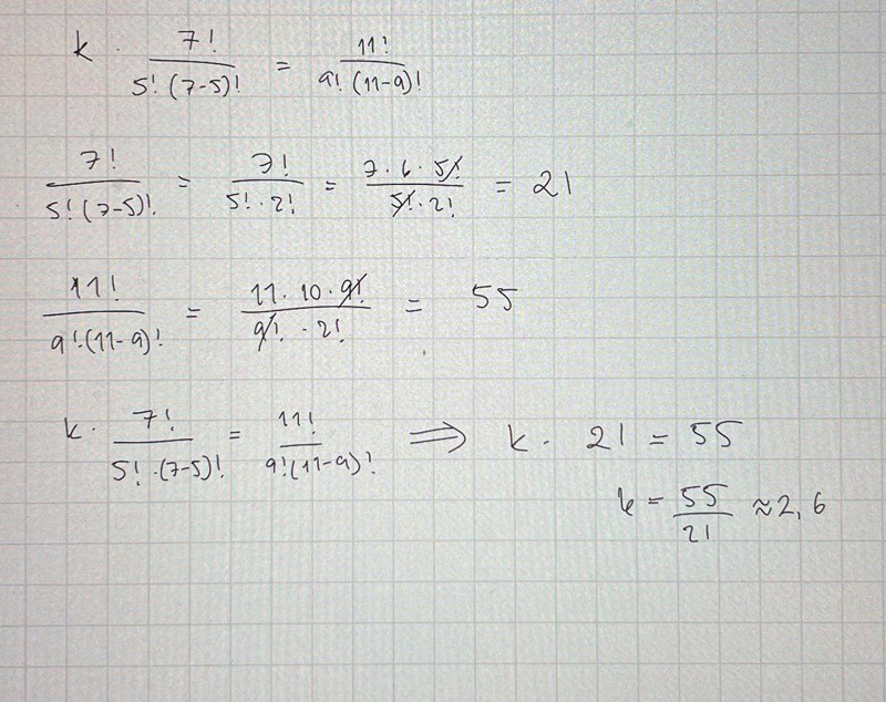
Bestäm det heltal k som löser ekvationen k*C(7, 5) = P(11, 9).
Facit anger att k=950 400, vilket jag inte får i min lösning nedan. Vad gör jag för fel?

Tack!
Vad betyder P(11, 9) ?
Arktos skrev:Vad betyder P(11, 9) ?
Att det är 11 över 9, antalet kombinationer.
Glömde skriva att k*C(7, 5) = P(11, 9) är samma sak som den första raden i min beräkning.
Jo, jag ser att du menar det, men varför byta beteckning?
Du menar alltså C(11, 9) dvs [11 över 9].
Du verkar ha räknat rätt, men det blev ju ingen heltalslösning.
Hur ser hela uppgiftstexten ut?
Kan du lägga in en bild på den?
Nej, P(11, 9) är antalet permutationer då 9 element ska väljas bland 11. Det är alltså inte samma sak som en kombination.
Ja, jag förstår! C och P innebär alltså olika saker, trodde att det bara var godtyckliga bokstäver. Då förstår jag hur jag ska lösa den, tack!
Då är saken klar.
Är detta beteckningar som används i din kursbok?
Är den på engelska? Combinations and Permutations.
På engelska finns även andra beteckningar för dessa.
Jag ser nu att Matteboken använder dessa beteckningar
https://www.matteboken.se/lektioner/matte-5/kombinatorik#!/
I våra trådar är det nog ändå säkrast att skriva ut formlerna.
Men ekvationen – är det en ren formelövning
eller ligger det något problem bakom? (jag är bara nyfiken)
Arktos skrev:Då är saken klar.
Är detta beteckningar som används i din kursbok?
Är den på engelska? Combinations and Permutations.
På engelska finns även andra beteckningar för dessa.Jag ser att Matteboken användes dessa beteckningar
https://www.matteboken.se/lektioner/matte-5/kombinatorik#!/
I våra trådar är det nog ändå säkrast att skriva ut formlerna.Men ekvationen, är det en ren formelövning
eller ligger det något problem bakom? (jag är bara nyfiken)
Det används P och C i min bok och den är på svenska.
Ekvationen var bara en formelövning.