1
svar
90
visningar
haalp behöver inte mer hjälp
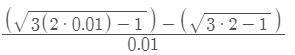
Använd differenskvoten för att beräkna närmevärde

Hej
är inte säker men har gjort 
fick svaret -0.67183 osäker om jag har gjort rätt
Gjorde du andra delen av uppgiften? Derivera med digitalt verktyg. Eller själv, om ni har lärt er derivera kvadratrötter.
Du menar väl 2+0.01, inte 2*0.01?