Använda integraler
Hejsan!
jag har verkligen fastnat på denna uppgiften! Jag vet knappt vad jag ska börja med ..
tänker att a = 0
b=2
k=1
n=?
men det är så långt som jag kommer… har någon någon idé? Tack :)


https://mathb.in/78385
Trinity2 skrev:
https://mathb.in/78385
tusen tack :) ska n = oändligheten? Får inte riktigt till vad f() är, eller vad är?:)
n->oo vid slutet, när man gjort de förenklingar som går.
Det kan vara bra att ersätta a och b med siffervärden om man är osäker på att hantera uttrycket. Det blir lite enklare då.
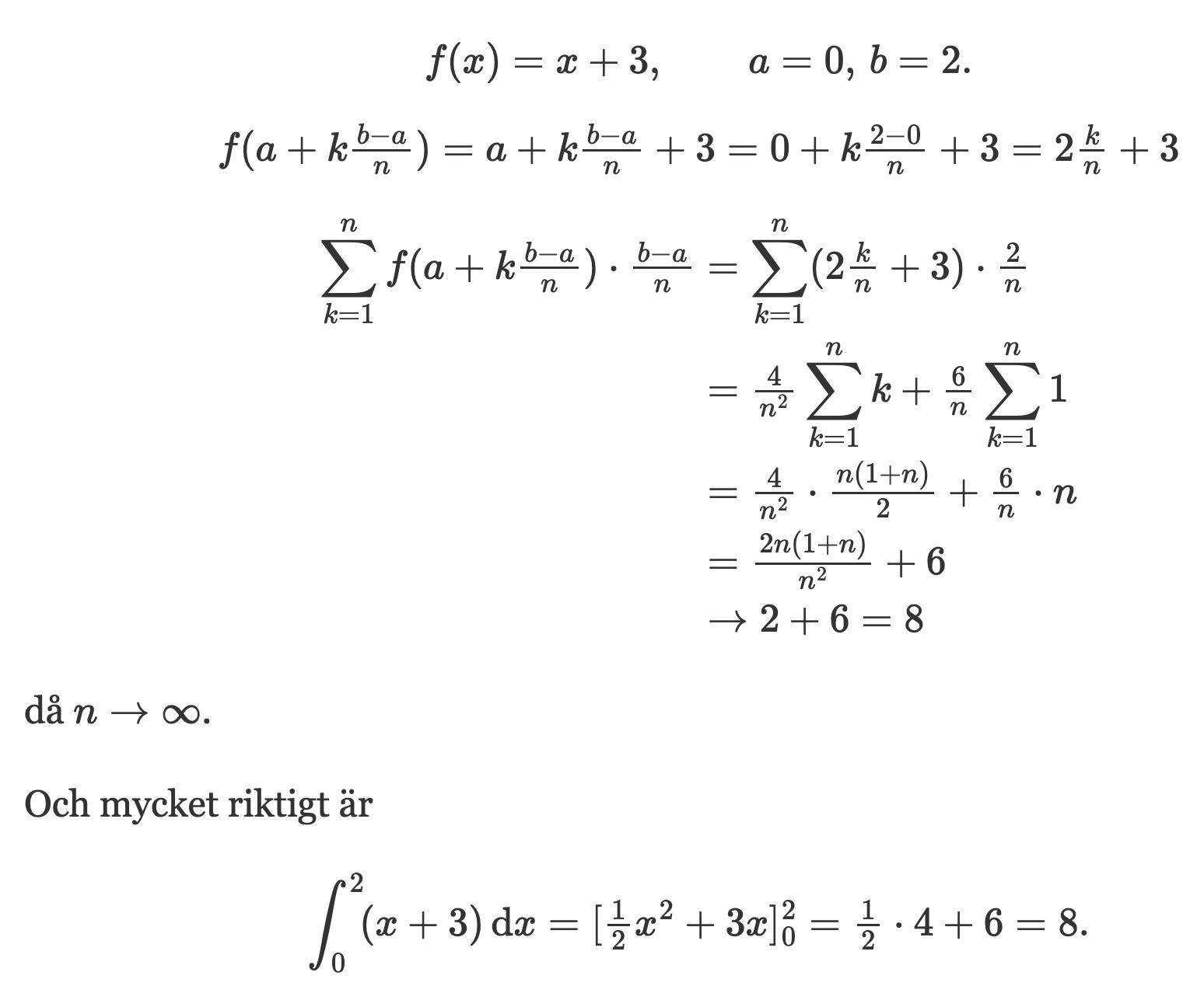
Om du menar vad de betyder med din fråga är det et sätt att dela upp intervallet [a,b] i lika breda intervall och evaluera f för ett antal x-värden. Tag a=0 och b=2 och n=4 och f(x)=x+3 och rita så tror jag du ser metoden som används för att skatta integralen. Övergången till "oo" ger integralens värde.
Trinity2 skrev:n->oo vid slutet, när man gjort de förenklingar som går.
Det kan vara bra att ersätta a och b med siffervärden om man är osäker på att hantera uttrycket. Det blir lite enklare då.
Om du menar vad de betyder med din fråga är det et sätt att dela upp intervallet [a,b] i lika breda intervall och evaluera f för ett antal x-värden. Tag a=0 och b=2 och n=4 och f(x)=x+3 och rita så tror jag du ser metoden som används för att skatta integralen. Övergången till "oo" ger integralens värde.
Jag förstår! tusen tack för din hjälp :)
