2
svar
86
visningar
destiny99 behöver inte mer hjälp
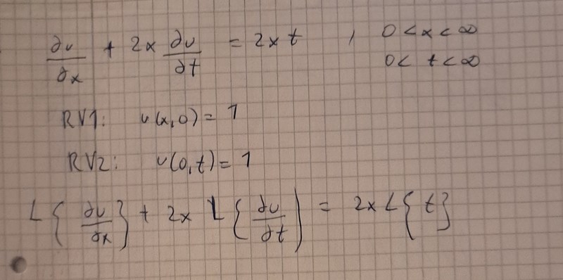
Använda laplacetransform för att lösa PDE

Hej!
Jag har helt kört fast på denna uppgift och vet inte hur man ska fortsätta vidare efter det här nedan:

Någon?

Jag gjorde ungefär som i lösningen. Men jag förstår inte varför de skriver att C är en funktion av s och ej x? Vad spelar det för roll vad C är för typ av konstant?
De transformerar lösningen U(x,s) till U(x,t) mha inverstransform på slutet. Varför gör de det?