Använda meter och km/h i samma formel?
Frågan: En bil accelererar från 77 km/h till 110 km/h på en sträcka på 300 m. Vad var bilens hastighet mitt på sträckan? Svara med två gällande siffror och enheten km/h.
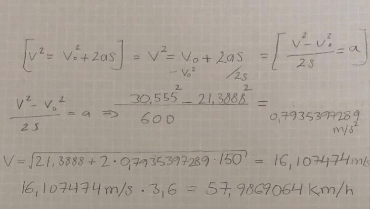
Jag fick hjälp av en kompis med att lösa upg: 
Det jag inte förstår och det min kompis inte kunde förklara för mig är hur man kan kombinera km/h och meter, har för mig att man måste använda samma enhet? det blir inte rätt när jag konverterar hastigheten till m/s.
Skulle vara jätte tacksam för snabbt svar!
Det hade varit lite snyggare att använda s = 0,300 km i uträkningen, då får accelerationen enheten km/h2.
Varför blir det fel när jag konverterar hastigheterna till m/s och det går altså att kombinera i en formel Km/h och meter?
tamarisen skrev:det går altså att kombinera i en formel Km/h och meter?
Ibland. Det är inte så bra, men man kan uttrycka ytor i enheten fotmeter: 10 fotmeter = 3,04 m2.
Men då måste man vara noga och hela tiden tänka på vad man gör. NASA kraschade en robot på Mars...
Din kompis undvek att skriva en enhet för acceleration, visste nog att det var lite jobbigt.
Om du konverterar hastigheterna till m/s och sedan får accelerationen i normala m/s2 måste du förstås på slutet konvertera tillbaka den sökta hastigheten till km/h. Då bör det också bli rätt. Att du får rätt ändå beror som Pieter sagt att du beräknar accelerationen i den ovanliga enheten kvadratkilometer per timkvadrat och meter.
Så här är det bättre att skriva:
Du glömde ett kvadrat vid 21,3888.
Men lösningen utan att konvertera till m/s är mer elegant.
Jag tar det, får inte till det med konverteringen till m/s, tack så hemskt mycket för hjälpen! :)
