1
svar
78
visningar
Marcus N behöver inte mer hjälp
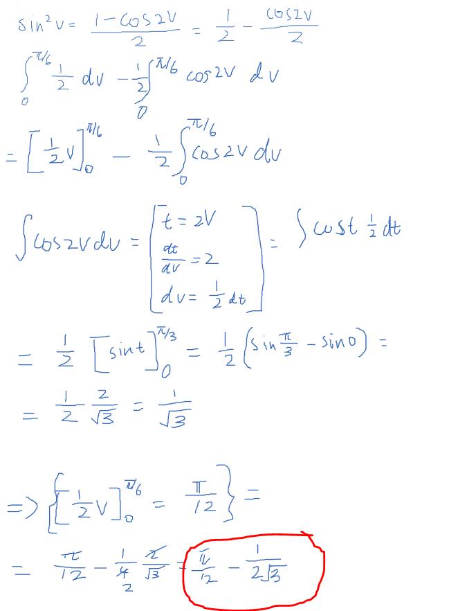
Använda trigonometriska sambandet för att bestämma bestämd integralen


Var har ja gjort fel?
Du har vänt på det,