12 svar
1003 visningar
Anderslundell 14 – Fd. Medlem
Postad: 5 maj 2020 15:58

Approximativt sannolikheten

Hej allihopa!

Det nämligen så att jag är ny här och behöver eran hjälp. Jag försökte lösa den uppgiften men lyckades inte därför behöver jag eran hjälp att visa/förklara till mig hur jag ska räkna detta. 

 

Kram

haraldfreij 1322
Postad: 5 maj 2020 16:12

Vad är sannolikheten att en given tablett väger över 5.32 g (0.8 standardavvikelser över väntevärdet)? Vad är sannolikheten att minst 860 sådana händelser inträffar bland 4000? Här kommer du antagligen behöva en approximation av binomialfördelningen, om du inte vill summera P(860 outliers) + P(861 outliers) + ...

Anderslundell 14 – Fd. Medlem
Postad: 5 maj 2020 16:18

Förlåt men jag förstod inte riktigt :'( 

haraldfreij 1322
Postad: 5 maj 2020 16:28

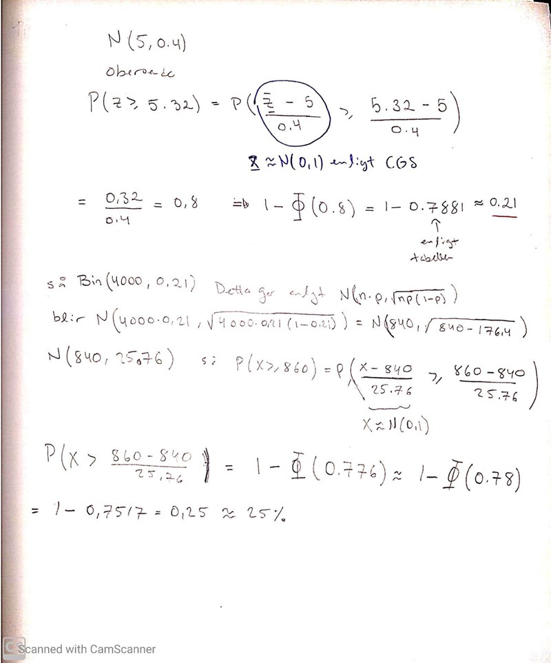
Det första steget är att räkna ut vad sannolikheten att X>5.32, om X~N(5,0.4). Det kan du slå upp i en tabell, 0.32=0.8*0.4 så  sannolikheten är samma som att en N(0,1)-variabel är större än 0.8 (det är ofta så tabellen är uppställd).

Nästa steg är att räkna ut vad sannolikheten är att du får minst 860 sådana händelser när du gör 4000 slumpförsök. Antalet lyckade utfall vid upprepade oberoende försök är binomialfördelat. Men eftersom du inte vill veta exakt sannolikheten för 860 "lyckade" utfall (som du kan beräkna med binomialfördelningen) får du istället använda en approximation för binomialfördelningen, där den kumulativa fördelningen P(Y>Y0) har en sluten form. Sådana approximationer finns, och står säkert beskrivna i din lärobok.

Anderslundell 14 – Fd. Medlem
Postad: 5 maj 2020 17:28

Jag räknade den första som du sa till mig som du ser på bilden, men jag förstår inte huuur jag ska räkna ut vad sannolikheten är att man får minst 860 sådana händelser när man gör 4000 slumpförsök på nästa steg :'( :'( 

haraldfreij 1322
Postad: 6 maj 2020 09:18 Redigerad: 6 maj 2020 09:25

Du har räknat på 5.35 istället för 5.32 som det står i uppgiften, men det är ju en smal sak att ändra.

I nästa steg ska du studera antalet tabletter som väger så mycket. Varje tablett väger för mycket med samma sannolikhet (den du just räknat ut), och deras vikter är oberoende. Antalet tabletter som väger för mycket beskrivs därför av en binomialfördelnining. Du har alltså en variabel YBin(4000,P>5.32)Y \sim Bin(4000,P_{>5.32}), och vill veta sannolikheten P(Y860)P(Y \geq 860). Den kan du antingen räkna ut som

P(Y860)=P(Y=860)+P(Y=861)+...=P(Y \geq 860)=P(Y=860)+P(Y=861)+...=

=4000860P>5.32860(1-P>5.32)4000-860+4000861P>5.32861(1-P>5.32)4000-861+...={4000 \choose 860} P_{\gt5.32}^{860}(1-P_{\gt5.32})^{4000-860}+{4000 \choose 861} P_{\gt5.32}^{861}(1-P_{\gt5.32})^{4000-861} + ...

(svinjobbigt, dålig idé!), eller bättre genom att approximera binomialfördelningen med en annan fördelning. Eftersom sannolikheten P>5.32P_{\gt 5.32} är en bit från både 1 och 0, och 4000 är ett ganska stort antal försök, går det bra att använda en normalapproximation. Du kan läsa mer i din bok, men en normalfördelning med samma väntevärde och varians som binomialfördelningen är N(np,np(1-p))N(np, \sqrt{np(1-p)}). Om du har en sådan fördelning, vad är då sannolikheten för att få ett värde större än 860?

Anderslundell 14 – Fd. Medlem
Postad: 6 maj 2020 10:38

Hej igen, tack så mycket för att du tar din tid att hjälpa mig. Ja vi använder formelnN(np,np(1-p)). Jag har bifogat en bild på det du sa. Ser det rätt ut nu el har jag gjort fel någonstans?  Sannolikheten är 25% . :) 

 

 

haraldfreij 1322
Postad: 6 maj 2020 13:03

Bra jobbat! Jag tycker det ser rätt ut, utan att ha kollat supernoga efter slarvfel (och har inte heller dubbelkollat tabellvärdena, men de ser rimliga ut tycker jag). Några små anmärkningar bara:

  • Du byter betydelse på X från att vara N(840,25.76) till motsvarande N(0,1)-variabel mitt i uträkningen. Gör inte det, det blir svårt både för dig och den som läser. Skapa en ny variabel Y (eller vad du vill kalla den) som är (X-840)/25.76
  • Var noggrann med var du sätter likhetstecken och 'ungefär-lika-med'-tecken. Det är t.ex. fel på sista raden, men också några andra ställen
  • Var försiktig när du avrundar, och fortsätt gärna arbeta med fler värdesiffror än 2. Fel kan sprida sig ganska snabbt.
Anderslundell 14 – Fd. Medlem
Postad: 6 maj 2020 13:30

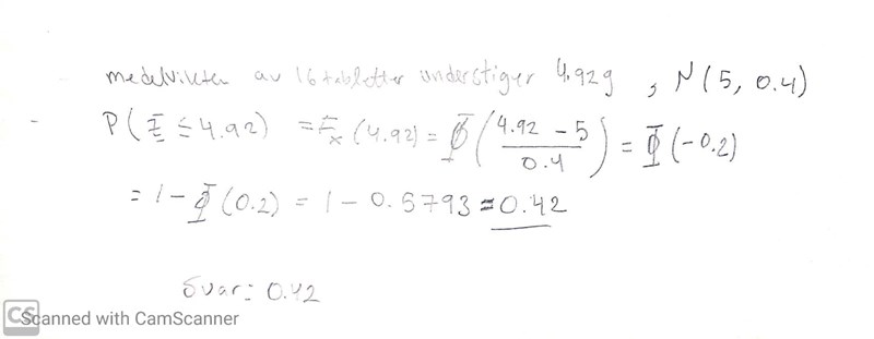
Tusen tack för dina kommentarer. Jag har en sista fundering och det är om ( man vill beräkna sannolikheten att medelvikten av 16 tabletter t.ex understiger 4.92 g.

Jag tänkte följande

Jag är dock osäker om jag ska använda N(5,0.4) Som jag hade i a) eller en annan N

Anderslundell 14 – Fd. Medlem
Postad: 6 maj 2020 15:40

Sorry menade den här bilden. 

Jag är osäker om jag ska använda N(5,0.4) Som jag hade i a) eller en annan N

 

haraldfreij 1322
Postad: 7 maj 2020 08:12 Redigerad: 7 maj 2020 08:14

Nej. För det första är inte medelvikten av 16 tabletter N(5,0.4). Vikten av 16 tabletter är summan av 16 oberoende variabler som alla är N(5,0.4). Summan av normalfördelningarna är också normalfördelad, med väntevärde 16*5 och varians 16*0.4². Medelvärdet får då väntevärde μ=16·516=5\mu=\frac{16\cdot5}{16}=5 och standardavvikelse σ=16·0.42162=0.1\sigma = \sqrt{16\cdot 0.4^2}{16^2}=0.1.

Sen förstår jag inte varför du tar 1-(1-Φ(0.2))1-(1-\Phi(0.2)), det ska vara 1-Φ(0.2)1-\Phi(0.2) (eller, inte 0.2 då, eftersom fördelningen var fel). Här är det bra att ta till rimlighetskontrollen: Är det rimligt att det är mer än 50% sannolikheten att tabletterna i snitt väger mer än 0.08 gram för lite? Jag säger nej - hälften av tabletterna kommer väga för mycket och hälften för lite, så sannolikheten ska säkert vara under 50%.

Anderslundell 14 – Fd. Medlem
Postad: 7 maj 2020 12:15

Jag gjorde så eftersom det är -0.2 och jag har inte det i tabellen osv så rekommenderade våran lärare att ta istället (1-Φ(0.2)) sen när jag väl har räknat ut då tar jag det hela som är 1- den summan.

Sen vet jag inte mer.

I den nya fördelningen nu får jag följande Φ(4.92-50.1)=Φ(-0.8)=1-Φ(0.8) =0.2119 därefter tar jag 1-0.2119= 0.7881ungefär 0.79dvs 79% att medelvikten av 16 tabletter understiger 4.92 g sen vet jag inte om det är rimligt så.

haraldfreij 1322
Postad: 11 maj 2020 08:09

Du subtraherar från 1 två gånger. Det ska vara en gång: P(Z<-0.2) = P(Z>0.2) = 1-P(Z<0.2).

Eftersom hälften av tabletterna (i snitt) väger över 5.0 gram är det orimligt att i över 50 % av fallen, i din uträkning tom 79 %, få tabletter som snittar under 4.92 g.

Svara
Close