Approximering av en integral
Hej! Har följande uppgift som jag sitter helt fast i, hur ska man tänka? Var ska jag börja och vilken metod/sats är användbar?
Gissar att du ska lösa den analytiskt?
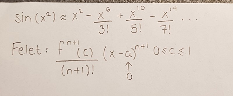
Testa att taylorutveckla täljaren i integranden och kontrollera feltermen.
Så när jag gör det ska jag välja att 0c1?
Du kan egentligen approximera kring vilken punkt du vill mellan 0 och 1. Det viktiga är att kontrollera feltermen och verifiera att den medför att felet blir mindre än 0.0001
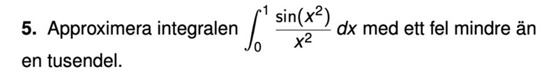
Men för att skriva upp taylorutveckling av sin(x2) behöver jag veta åtminstone a till f(a), f'(a) ...
Precis, och detta a kan vara vilket som helst inom intervallet [0,1].
Enklast är att välja a=0.
Tillägg: 14 okt 2024 16:56
Det går ju faktiskt att välja vilket värde på a du vill, men felet kommer bli större för a som är långt utanför området av intresse.
Att välja a=0.5 är troligen optimalt, men a=0 kommer göra analysen mycket enklare och kräver kanske bara 1 eller 2 extra termer i Taylorpolynomet för att erhålla samma felmarginal, så detta val föredras.
Jag verkar inte komma någonstans, gradet blir större och större utan att felmarginalen närmar sig en tusendel..
Visa gärna dina anteckningar, hur kvantifierar du felet?
Använder mig av detta tänktet, c ska väljas så att felet blir maximalt. 
får antingen negativt eller 0
Det ser rimligt ut. Termerna till utvecklingen av sin(x^2) blir mindre och mindre.
Du behöver integrera felet (dividerat med x^2) över intervallet 0 till 1 och se till att resultatet inte överstiger 0.0001
Jaha så inte endast kontrollera felet av sin(x2) och köra det racet till feltermen är mindre än 0.0001?
Det är felet av integralen som ska begränsas. Så att kontrollera felet på sin(x^2) kan antingen leda till ett alltför strikt eller annars ej tillräckligt strikt krav.
Men i felet t.ex för grad 3, hur ska jag välja x?:
Tillägg: 14 okt 2024 17:23
Jag är helt förvirrad nu hur jag ens ska tänka, det kommer ju inte ut någonting från någon formel
sin(x^2) kan likställas med det oändliga polynom du skrev upp.
Om vi kapar polynomet efter grad k, måste vi lägga till feltermen som är för något .
Tillägg: 14 okt 2024 17:42
Vi kan dela upp usprungsintegralen till integralen av vårt kapade polynom samt integralen av denna felterm (glöm inte att dividera med x^2).
Integralen av denna felterm (dividerat med x^2) ska vara mindre än 0.0001 för att vi ska vara nöjda.
Uppgiften är att undersöka hur många termer du behöver ta med i ditt kapade polynom för att integralen av feltermen ska tillfredställa detta villkor.
integralen av feltermen kan du begränsa uppåt genom att välja ett värde på integranden som alltid är större eller lika med feltermen.
Tror du att du skulle kunna rita upp detta, kan inte riktigt visualisera mig hur det ser ut. Har massor av frågor:
1. Hur är hur många termer som man behöver ha med svaret?
2. Hur ska man bara välja ett värde?
Och hur skulle man komma på allt detta i första hand?
Börja med att bara ha med första termen. (alltså första termen i utvecklingen till sin(x^2) som du skrev ut i bilden längre upp).
Vad blir feltermen? Detta är en funktion av epsilon.
itter skrev:Och hur skulle man komma på allt detta i första hand?
Det finns säkert många tillvägagångssätt för att lösa denna uppgift.
Börja med att brainstorma fram olika idéer och kör på den som känns bäst. Funkar den inte så kan du testa en annan.
Tillägg: 14 okt 2024 18:03
Mitt förslag på metod kanske inte är så bra. Det är bara att klura fram ett annat sätt om du vill.
Vad får du för svar? Tänk så är detta helt fel?
Vad är det för kurs och vilka tillåtna hjälpmedel har du att tillgå?
Jag får att är en tillräckligt bra approximation för att felet ska vara mindre än 0.0001
Men det är energikrävande att göra detta för hand. Så om datorer eller liknande är tillåtet så underlättar det såklart.
Tillägg: 14 okt 2024 18:19
Svaret blir 0.9676
Envariabelsanalys, inga hjälpmedel tillåtna och facit säger 29/30
Man kan inte använda sig av riemannsummor på något sätt kanske, för jag tycker också det är väldigt tidskrävande och svårt att komma på.
29/30 = 0.966666....
Svaret är 0.967577.. (enligt WolframAlpha)
Så det kan ju inte stämma.
Nej..
Skillnaden mellan 0,966666 och 0,967577 är väl mindre än 0,001?
Är det vad uppgiften går ut på?
Men hur skulle man räkna ut det? Dvs 29/30? Hur får man fram det från integralen, när vi fått ut 0.9675?
Laguna skrev:Skillnaden mellan 0,966666 och 0,967577 är väl mindre än 0,001?
Ja du har rätt!
Tänkte på 0.0001
Då kommer approximeringen vara tillräcklig för att tillfredställa felmarginalen.
Och därmed behöver du enbart beräkna upp till och med 7e derivatan (och inte 11e derivatan) för att använda den metod jag föreslagit i denna tråd.
Jag förstår fortfarande inte hur du kom fram till ditt svar och hur vi får fram svaret 29/30 från det du svarade med
Ta den trunkerade serien, dela med x2, integrera och sätt in gränserna 0 och 1.
Trunkerad? Men om jag ska ta detta från 0 till 1, blir den odefinierad?
Varför skulle den vara odefinierad?
Tror jag är trött, det blir helt självklart 29/30.
Jag ber om ursäkt för mina flertal frågor, men för att räkna ut felet behöver jag ha både x och a och c för att räkna ut felet. Hur räknade ni för att för mig blir det enbart att a=0 och c ska väljas mellan 0 och 1 för att felet ska vara maximalt, men vi har inte x? Så, om jag inte är ute och cyklar, felet kan inte ge oss en siffra?
Jag gissar att tanken är att du kan integrera nästkommande term i taylorutvecklingen, dvs x^10/7! och inse att resultatet kommer vara mindre än en tusendel.
Dock så bevisar inte detta att integralen av summan av alla resterande termer i utvecklingen (det är oändligt många) begränsas av en tusendel.
Du måste använda någon instängning av något slag för att bevisa detta.
Känns som ett riktigt jobbigt problem det här..
Eftersom serien är alternerande så tycker jag det borde gå bra att titta på den första termen som man inte har med.
Laguna skrev:Eftersom serien är alternerande så tycker jag det borde gå bra att titta på den första termen som man inte har med.
Hur menar du?
Laguna skrev:Eftersom serien är alternerande så tycker jag det borde gå bra att titta på den första termen som man inte har med.
Instämmer!
integralen av första termen som du inte har med kommer bli en övre gräns till felet. Nästa term ska du subtrahera från felet och tredje termen (som du adderar) kommer vara mindre än vad vi subtraherade bort i andra termen. Femte termen (som vi adderar) kommer vara mindre än fjärde termen som vi subtraherade bort. Alltså kommer första termen agera övre gräns.
Viktigt att notera också att vi har underskattat det exakta resultatet, så det svaret vi har kommit fram till är redan en undre begränsning.
Exakta svaret ligger mellan vår undre och övre begränsning och det är just detta avstånd vi kvantifierar genom att integrera första termen vi inte har med.
Hade vi kapat serien en term senare hade vi istället haft en övre begränsning och därmed fått resonera på samma sätt för att efterkommande term skulle ge en undre begränsning.