2
svar
155
visningar
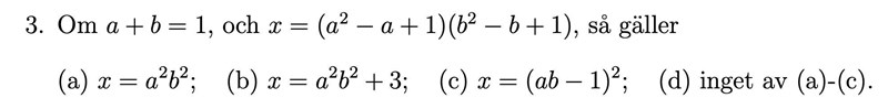
Är (a^2-a+1)(b^2-b+1)=(ab-1)^2

Hur kommer jag fram till att de är samma?
Hej!
Faktorisera respektive inuti parentesen i uttrycket för . Då får du (exempelvis i första parentesen) . Gör likadant på andra parentesen och snygga till.
Moffen svarade rätt så jag raderar mitt meddelande :)