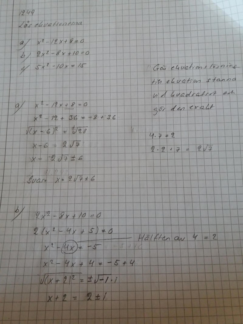
Är det fel på uträkningen kommentera

Päivi skrev :
Hej Päivi. Ja det är fel i båda uträkningarna.
a-uppgiften:

b-uppgiften:

Hur ska det vara då?
Ja, det är fel på uträkningarma.
Det bästa du kan göra - för dig själv och för dem du vill ha kommentarer från - är att verkligen förklara vad som händer från en rad till nästa. När du förklarar det tydligt, kommer allt att bli rätt.
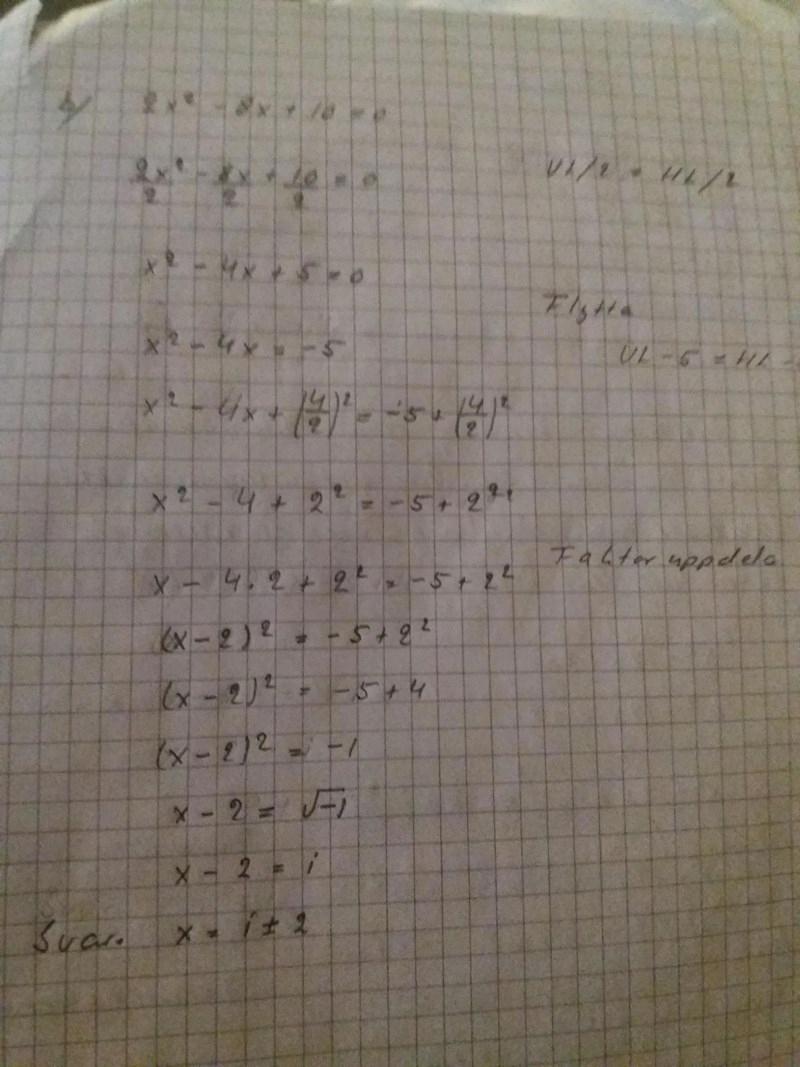
Ett till fel i b-uppgiften:

är inte lika med .
Päivi skrev :
Kan du nu säga exakt vad du har gjort från rad 1 till rad 2?
Jag har delat 12x till hälften och tredje termen satte till kvadrat. Tredje termen från VL har jag flyttat över till HL. Plus åttan tagit från VL och lagt den till HL och då ändrar åttan tecknet.
Päivi skrev :Jag har delat 12x till hälften och tredje termen satte till kvadrat. Tredje termen från VL har jag flyttat över till HL. Plus åttan tagit från VL och lagt den till HL och då ändrar åttan tecknet.
Har du gjort allt det samtidigt? Då skulle jag rekommendera att du gör en sak i taget i fortsättningen, och att du slutar "flytta över" saker från den ena sidan till den andra - det är så stor risk att det blir fel då. Subtrahera 8 från båda leden iställst, så blir tecknet automatiskt rätt.
Var är det du skall sätta ut "plusminus"? Det har hamnat på fel ställe - först glömde du det, och sedan hamnade det fel.
EDIT: I ditt senaste inlägg har plusminus hamnat rätt.
I vilken av dem?
Päivi skrev :Hur ska det vara då?
Kan jag få reda på det?
Päivi, när du skriver inlägg utan att visa vad du citerar är det jättesvårt att veta vad man skall svara på. Nu har du gjort det 2 ggr mellan det här inlägget och mitt förra.
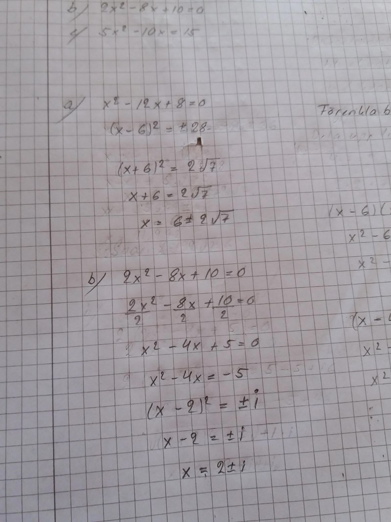
Första pappret: Jättebra!
Andra pappret: Sudda ut ordet Flytta, det finns inte något räknesätt som heter så.
Du har tappat bort x på rad 6 och 7.
Du har missat den ena roten på näst sista raden.
Du har klantat till det helt på sista raden, troligen p g a misstagetpå raden ovanför. (Det ena svaret är trots allt rätt.)
Smaragdalena skrev :Du har klantat till det helt på sista raden, troligen p g a misstagetpå raden ovanför. (Det ena svaret är trots allt rätt.)
Tror nog att man måste korrekturläsa sina egna svar även om man automatiskt då blir hemmablind.
Ett mycket bra tips jag lärde mig från en av mina lärare (gäller inte enbart matematik) var att fråga mig själv: Är det svar jag har räknat ut rimligt. Kan det stämma?
En parentes: Jag hade en klasskompis som absolut inte lyssnade på ovansagda lärare. På ett prov lyckades han därmed räkna fel på en uppgift, inte en gång, utan två, så häpnadsväckande blev svaret rätt, eller ja, "rätt".
Päivi skrev :Jag har delat 12x till hälften och tredje termen satte till kvadrat. Tredje termen från VL har jag flyttat över till HL. Plus åttan tagit från VL och lagt den till HL och då ändrar åttan tecknet.
Du har alltså (till att börja med) dragit bort 6x från vänsterledet men inte från högerledet.
Ungefär som attändra 4 + 6x = 10 till 4 + 3x = 10
I dina senare försök (och även senare i samma försök) har du inte gjort om det misstaget.



