4
svar
126
visningar
dajamanté behöver inte mer hjälp
är det injektiv?? är det sujektiv?? är det subjektiv? är det produktiv?? eller figurativ??
En till fråga som jag inte är med:

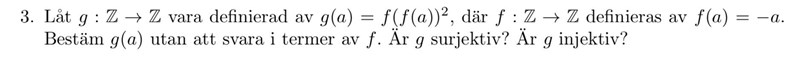
Om och f(a) = -a, jag läser :
1. a invers
2. a kvadratterad
3. a invers igen
så ja, injektiv och sujektiv
Invers?
f(a) = -a, så
f(f(a)) = f(-a) = -(-a) = a
Detta ska sedan kvadreras.
Ah du menar att det är först 3, och då 2...
Jag håller med om att
f(f(a))^2
kan uppfattas som otydligt. För tydlighets skull hade man kunnat lägga in en till parentes (och då gärna en hakparentes, för ingen vill ha 3 ) i rad...)
[f(f(a))]^2
Vissa skulle även skriva det som
f^2(f(a)), men jag tycker inte att det är uppenbart om f^2(x) betyder
f(f(x))
eller
[f(x)]^2
Nämen nu som du säger det, det verkar uppenbart att ^2 kvadratterar den sista uttryck.