6
svar
152
visningar
Päivi skrev :
Hej Päivi.
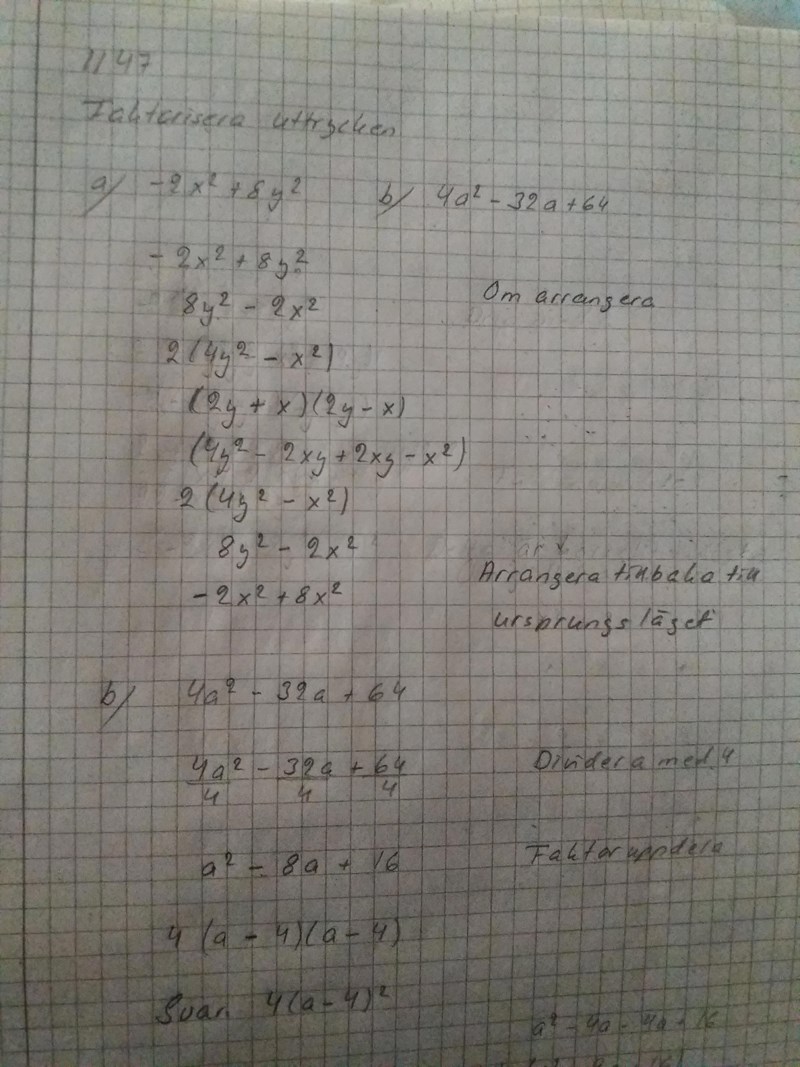
Börja med att kontrollera dina faktoriseringar genom att multiplicera ihop dem och se om du får tillbaka ursprungsuttrycket eller inte.
Skriv sedan här och berätta vad du kom fram till.
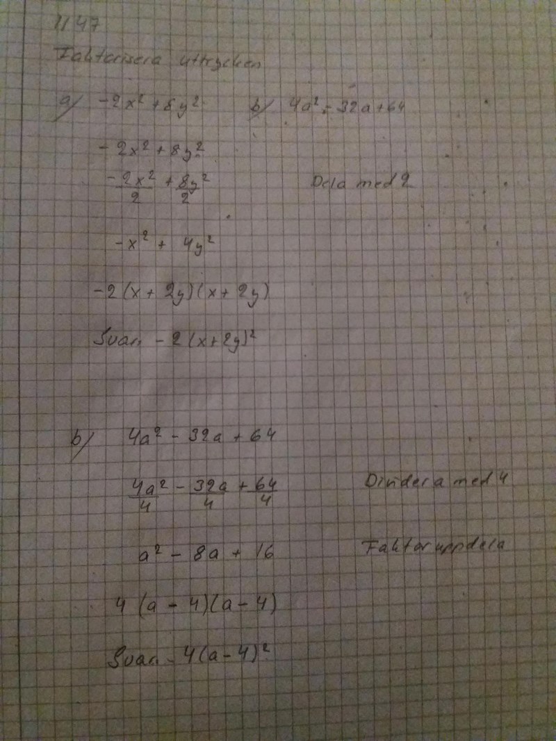
Om vi tar del moment först.
(A-4)(A-4)=
(A^2-4a-4a+16)=
(a^2-8a+16)=
nu multiplicerar vi hela ekvationen med 4
4(A^2-8a+16)=
4a^2-32a+64
Jag anser detta är riktigt.
Päivi skrev :Om vi tar del moment först.
(A-4)(A-4)=
(A^2-4a-4a+16)=
(a^2-8a+16)=
4(A^2-8a+16)=
4a^2-32a+64
Jag anser detta är riktigt.
Bra. Det är riktigt. Gör nu på samma sätt på a-uppgiften.
Päivi skrev :
Ja nu är det rätt.
Du ser hur enkelt det är att hitta slarvfel genom att bara kontrollera sina resultat.
Skriv upp det på din kom-i-håglista Päivi.
Tack för detta, Yngve!


