Är detta en godkänd uträkning?


Obs jag råkade skriva ”A” =p men det ska vara a=p
Du har kommit en bit på väg, men du är inte klar än. Kan du faktorisera 111?
Nej, nu förstår jag inte vad du gör. Varifrån kommer 114? Jag sa att du skulle faktorisera 11. Vad blir det?
jag förstår inte vad du menar eller hur jag ska tänka
Jag tappade bort en siffra, jag menade att skriva att du skall faktorisera 111. (Tips: vilken siffersumma har talet 111?)
Siffersumman av 111 är 3
solskenet skrev:Siffersumman av 111 är 3
Om siffersumman är 3 så betyder det att talet självt är delbart med... Det lärde du dig i Ma1.
Jag kommer faktiskt inte ihåg delbarhets reglerna
Kolla här:
https://www.matteboken.se/lektioner/matte-1/tal/delbarhet
4 okända och 2 ekvationer...
Man kan ta reda på hur p och q beror på a och b (eller tvärtom), men inte få fram entydiga värden.
Jag har inte förstått än vad det är jag ska göra. 111 är delbart med 3 därför att siffersumman är 3. Hur ska jag sen tänka?
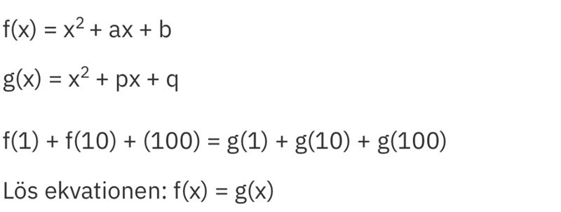
Kan du lägga in en bild av ursprungsuppgiften?
