Är detta korrekt angående linjens ekv på paraform
Hej, kan någon rätta mig om jag har fel tack.

Att skriva en rät linje på parameterform betyder att man uttrycker linjen med hjälp av vektorer. För att kunna göra det så behöver man veta åt vilket håll linjen riktar (riktningsvektor) och en annan punkt på linjen. (Referenspunkt/ortsvektor)
När man har fått fram en referenspunkt till linjen så är man halvvägs. Nu behöver vi en riktningsvektor (en vektor som är parallell med linjen) vi får ut riktningsvektorn med hjälp av att räkna ut förhållandet mellan delta Y och delta X (lutningen) och sedan använder vi det för att bestämma riktningsvektorn Vi ansätter en lämplig skalär (av någon anledning.. jag gissar på att man har en skalär för att man inte ska få samma punkt som )
För att nu fä fram punkt nummer 2 på linjen så tar vi
Eller
Nu kan vi lätt omvandla från parameterform till ”vanlig form?” eller vice versa.
Du har förstått hur den räta linjens ekvation fungerar. Precis som du säger använder vi för att ta ett antal steg bort från referenspunkten i den riktning som ges av riktningsvektorn. Använder vi negativa värden på går vi åt andra hållet, fortfarande på samma linje. Det går naturligtvis också bra att vända på riktningsvektorn, det enda som händer då är att vi får använda negativa t istället för positiva t och vice versa.
Jag håller däremot inte med dig (och eventuellt din lärobok) om är vad som är vektorform och vad som är parameterform.
Om vi låter en punkt på linjen ges av en referenspunkt och en riktningsvektor ges linjen på vektorform av:
Där den reella parametern t får genomlöpa intervallet . Vi använder alltså en parameter även i vektorform.
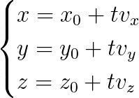
Den räta linjens ekvationer på parameterform ges av:
Om parametern t elimineras från ekvationerna får vi linjens ekvation på parameterfri form:
Denna elimination är möjlig om
Guggle skrev:Jag håller däremot inte med dig (och eventuellt din lärobok) om är vad som är vektorform och vad som är parameterform.
Om vi låter en punkt på linjen ges av en referenspunkt och en riktningsvektor ges linjen på vektorform av:
Där den reella parametern t får genomlöpa intervallet . Vi använder alltså en parameter även i vektorform.
Den räta linjens ekvationer på parameterform ges av:
Om parametern t elimineras från ekvationerna får vi linjens ekvation på parameterfri form:
Denna elimination är möjlig om
Nej vänta här nu, jag är fortf bara på R^2 Har inte kommit dit än. Håller du fortf inte med boken om du ser detta:
Början på kapitlet

och sen

Bortsett från allt det så har jag en fundering. Alltså namnet ”parameterform” har o göra med att man ansätter parametern t som skalär för riktningsvektorn för att inte få samma punkt som referenspunkten?
Tack så jättemycket hittills!
Hej!
En rät linje (i planet eller i rummet) bestäms av två saker:
- En punkt som ligger på den räta linjen.
- En vektor som är parallell med den räta linjen.
Alla punkter som ligger på den räta linjen kan beskrivas med dessa två objekt:
Parametervärdet motsvarar punkten (som ligger på linjen); varje annat parametervärde ger punkter som ligger på den räta linjen. Det finns lika många punkter på den räta linjen som det finns parametervärden.
Albiki skrev:Hej!
En rät linje (i planet eller i rummet) bestäms av två saker:
- En punkt som ligger på den räta linjen.
- En vektor som är parallell med den räta linjen.
Alla punkter som ligger på den räta linjen kan beskrivas med dessa två objekt:
Parametervärdet motsvarar punkten (som ligger på linjen); varje annat parametervärde ger punkter som ligger på den räta linjen. Det finns lika många punkter på den räta linjen som det finns parametervärden.
Tack.