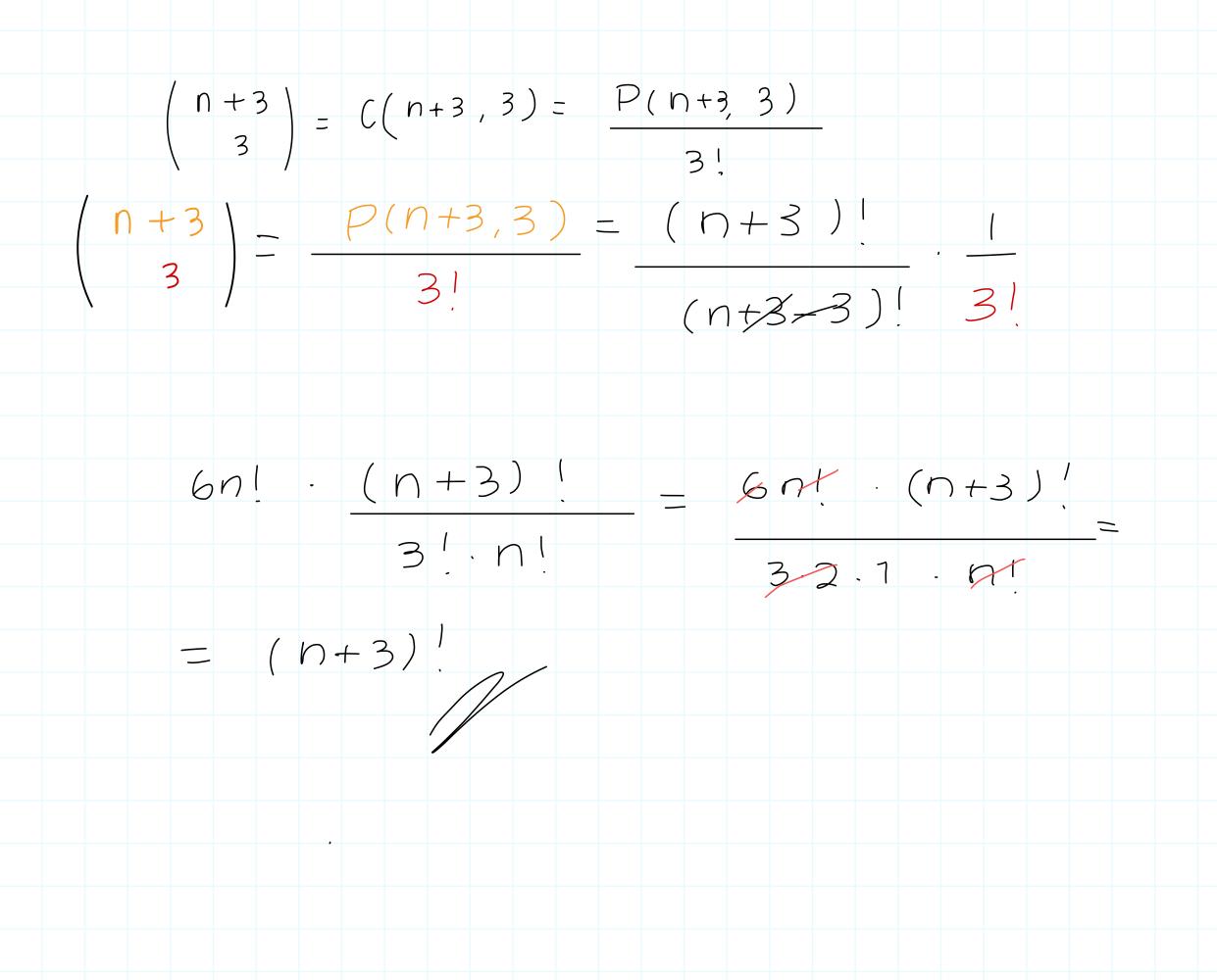
Matematik / Matte 5 / Kombinatorik 1 svar 143 visningar fysik3 behöver inte mer hjälp Avmarkera fysik3 174 Postad: 5 jun 2024 13:07 Redigerad: 5 jun 2024 13:07 rätt lösningsmetod? b) uppgiften Calle_K 2386 Postad: 5 jun 2024 14:11 Ser bra ut Användare skriver Svara Du behöver Logga in eller Bli medlem först! Avbryt