2
svar
53
visningar
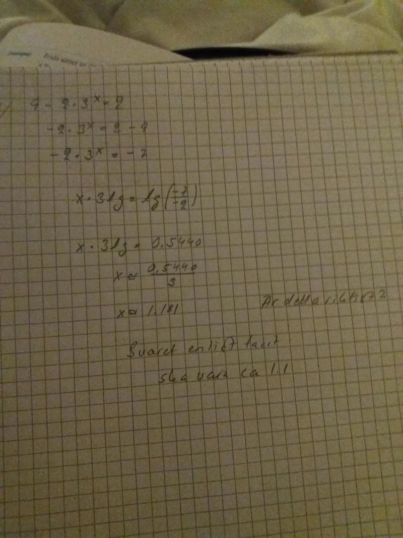
Du ser ut att ha dividerat med 3 istället för lg(3).
Kanske för att du felaktigt skrev 3lg istället för lg(3) i VL?
Och du har använt närmevärde istället för exakta värden i delresultaten (lg(7/2)).
Efter (-2)*3^x = -7 ska det vara
3^x = -7/-2
Och sedan
lg(3^x) = lg(3,5)
x*lg(3) = lg(3,5)
x = lg(3,5)/lg(3)
Tack för detta Yngve!
Jag har rättat det här nu. Det blev mera rätt svar.
