Päivi skrev :
Hej Päivi.
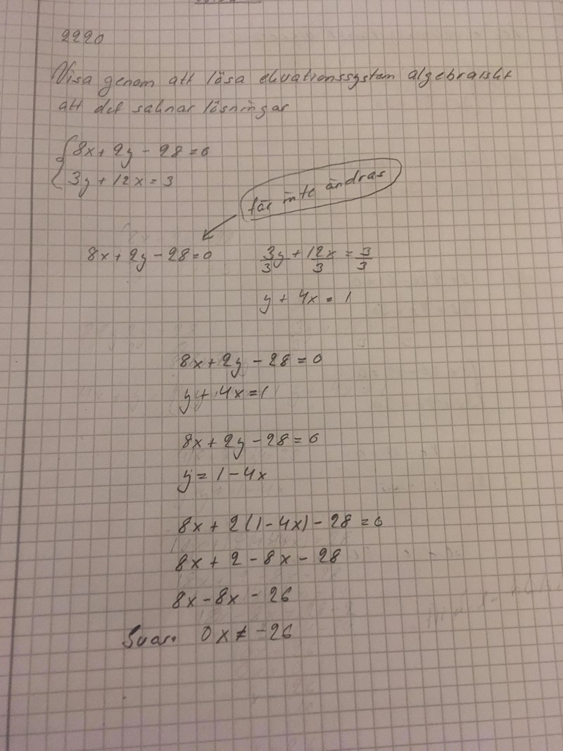
Du har räknat rätt.
Det enda som saknas är att du med hjälp av uträkningarna motiverar varför ekvationssystemet saknar lösning.
Svar på Yngves fråga, varför ekvationssystem saknar lösning. Detta beror på eftersom linjerna är parallella. De har alltså samma k värde, men olika m värde. Där är skälet.
Päivi skrev :Svar på Yngves fråga, varför ekvationssystem saknar lösning. Detta beror på eftersom linjerna är parallella. De har alltså samma k värde, men olika m värde. Där är skälet.
Ja det är också en förklaring, men det är inte det du har visat genom att komma fram till att 0 skulle vara lika med -26.
----------------
När du löser ett ekvationssystem så tar du fram alla de värden på de ingående obekanta (här: x och y) för vilka alla de ingående ekvationerna är uppfyllda (dvs att deras påståenden är sanna).
- Om du då får fram samband som till exempel ser ut på följande sätt: x = x, 17 = 17, 4y = 4y eller liknande så vet du att alla ingående ekvationer är uppfyllda oavsett vilket värde x och y har. Det betyder att ekvationerna är uppfyllda för alla möjliga värden på x och y. Ekvationssystemet har då oändligt många lösningar.
- Om du istället får fram samband som till exempel x = 2 och y = 3 så vet du att alla ingående ekvationer är uppfyllda om x och y har just dessa värden. För övriga värden på x och y är ekvationerna inte uppfyllda. Det betyder att ekvationssystemet har en unik lösning.
- Om du istället får fram samband som till exempel 0 = -26 så betyder det att det inte finns något val av de obekanta x och y som gör att alla ingående ekvationer är uppfyllda. Det betyder att ekvationssystemet saknar lösning.
Tack för det, Yngve! Nu har jag skrivit av det här. Viktigt att veta.
Tusen tack Yngve!
