Päivi skrev :
Kan du ta en bättre bild eller skriva ner uppgiften istället, det är väldigt suddigt. TITTA på bilderna innan du postar dom! "Ser man tydligt?", "Behöver man anstränga sig mycket för att se vad som står?". Gör så framöver så underlättar det för oss som hjälper till. Tack
Jag ska skriva av uppgiften med dator.
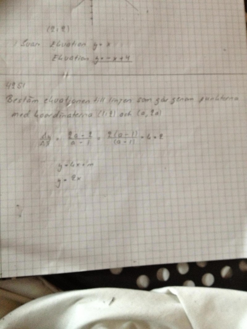
Bestäm ekvationen till linjen som går genom punkterna med koordinaterna (1:2) och (a: 2a)
Päivi skrev :Jag ska skriva av uppgiften med dator.
Inte denna uppgiften, du har ju bara tagit en SUDDIG bild och postat den. Bilden är suddig, man ser knappt vad som står. Förstår du hur jag menar? Titta på bilden som du har postat i denna tråden. Den är jätte otydlig.
Kan du ta en bättre bild eller skriva uppgiften och ditt svar med ord/siffror istället?
Päivi skrev :Bestäm ekvationen till linjen som går genom punkterna med koordinaterna (1:2) och (a: 2a)
Päivi skrev :Bestäm ekvationen till linjen som går genom punkterna med koordinaterna (1:2) och (a: 2a)
såg inte att du skrev det. Ja det stämmer.
Den var verkligen suddig. Jag tog kort med telefonen. Det är lite svårt kunna avgöra, hur bilden ser ut. Nu skrev jag allt med dator.
Tack i alla fall.
