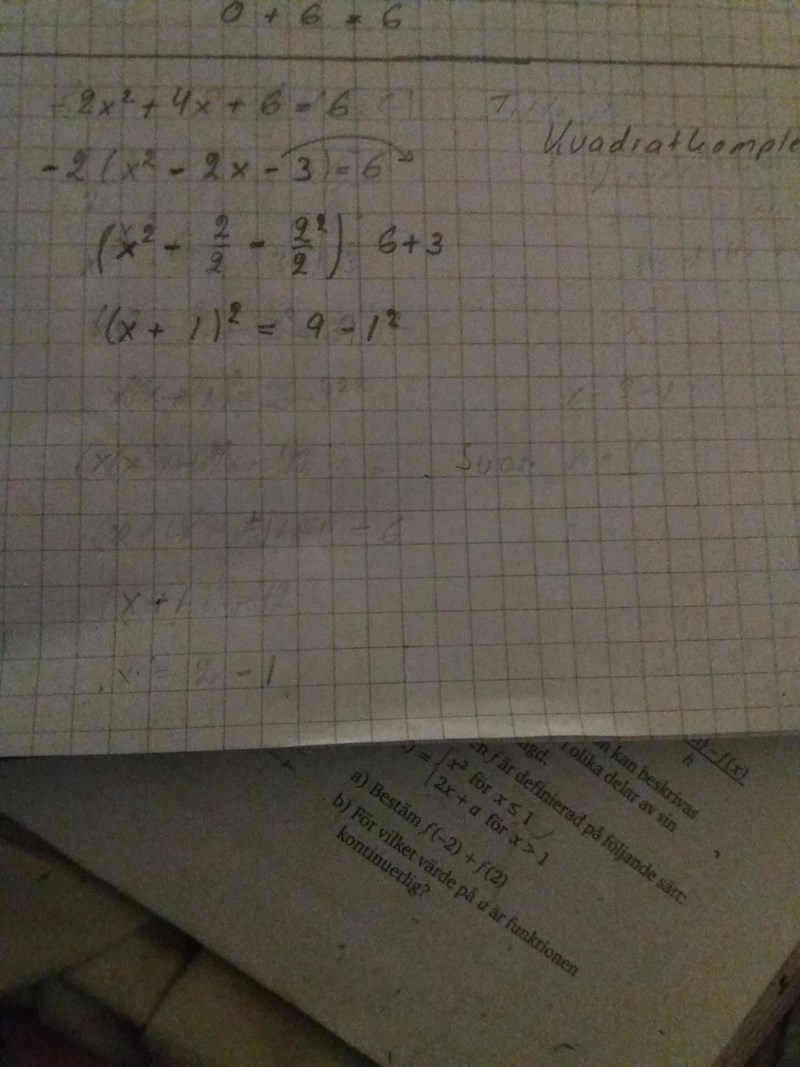
Hej Päivi,
När du bryter ut -2 glömmer du att ändra tecken på de andra termerna inuti parentesen.
Du skriver
Det ska vara
Sedan kan du dela båda sidor med -2. Kvar får du
Om du vill kan du snygga till uttrycket och kvadratkomplettera. Du kan också lösa ekvationen med nollproduktmetoden eller pq-formeln. Det är en smaksak!
För just den här ekvationen är nollproduktmetoden extra enkel eftersom du kan ta bort -3 på båda sidor.
Nej det stämmer inte.
Rad 2: Om du bryter ut -2 ur VL så ska det bli -2*(x^2 - 2x - 3).
Rad 3: Här saknas det en parentes runt och en exponent till x + 2/2.
Sen är det ingen idé att kommentera mer.
Varför vill du lösa ekvationen med kvadratkomplettering? Det är mycket enklare att subtrahera 6 från bägge led, faktorisera VL och sedan använda nollproduktmetoden.
Jag är glad att ni talar om att jag gör något fel. Jag är inte van lösa på det här sättet sådant här. Pq formel klarar jag bättre av, men jag vill även kunna det här sättet med.
Är detta bättre?
Päivi skrev :Jag är glad att ni talar om att jag gör något fel. Jag är inte van lösa på det här sättet sådant här. Pq formel klarar jag bättre av, men jag vill även kunna det här sättet med.
OK om du vill lösa med kvadratkomplettering kan du först följa Bubos tips här och sedan gå vidare på följande sätt:
Addera 3 på båda sidor:
Kvadratkomplettera:
Förenkla:
Addera 1 på båda sidor:
Roten ur:
Addera 1 på båda sidor:
Yngve skrev :Varför vill du lösa ekvationen med kvadratkomplettering? Det är mycket enklare att subtrahera 6 från bägge led, faktorisera VL och sedan använda nollproduktmetoden.
Jag hann inte se ditt svar, innan jag skrev. Jag ville testa det här. Jag löser ju denna på annat sätt, eftersom det sättet är enklare för mig. Kan inte hjälpas att det är bara så.
Päivi skrev :Yngve skrev :Varför vill du lösa ekvationen med kvadratkomplettering? Det är mycket enklare att subtrahera 6 från bägge led, faktorisera VL och sedan använda nollproduktmetoden.
Jag hann inte se ditt svar, innan jag skrev. Jag ville testa det här. Jag löser ju denna på annat sätt, eftersom det sättet är enklare för mig. Kan inte hjälpas att det är bara så.
OK jag bara undrade. Det är bra att du tränar på kvadratkomplettering Päivi. Se mitt svar ovan.
Päivi skrev :
Nej det stämmer inte. Rad 3 följer inte av rad 2. De säger inte samma sak.
Se mitt svar här.
Tack för hjälpen!
Jag måste träna på sådant här också anser jag. Det gör jag efter funktionerna. Tar kör lite andragrads ekvationer och sysslar lite med ekvationssystem också. Jag tar logaritmer före, innan jag kommer tillbaka till matte 3.
Päivi skrev :Tack för hjälpen!
Jag måste träna på sådant här också anser jag. Det gör jag efter funktionerna. Tar kör lite andragrads ekvationer och sysslar lite med ekvationssystem också. Jag tar logaritmer före, innan jag kommer tillbaka till matte 3.
Om du vill läsa mer om kvadratkomplettering kan du läsa här Päivi.
Eller söka på YouTube.
Jag har tittat på Youtube, Yngve! Jag gjorde än då fel med detta. Därför satte jag fråga om det, Yngve!
Ibland strular internet här. Ibland är det dålig sändning.
Päivi skrev :
Nej du kan inte göra så där.
Rad 2 säger inte samma sak som rad 1:
Vänsterleden är identiska (grönmarkerade), men högerleden skiljer sig åt (rödmarkerade).
Rad 3 säger inte samma sak som rad 2: Du har bland annat tappat bort en faktor x (blåmarkerat).
Har du läst mitt svar där jag beskriver hur du ska göra? Om inte, gör det.
Om du har läst men inte förstått så fråga.

Härifrån är det rätt (grönmarkerat), men vägen fram dit är inte rätt.

Jag ska titta på det här, Yngve. Hade telefon samtal nyss.
Varför svarar du inte på min fråga Päivi?
Jag tänker inte lägga tid på att kommentera dina uträkningar förrän du svarar på min fråga.
Jag frågar igen: Har du läst mitt svar där jag beskriver hur du ska göra? Om inte, gör det.
Om du har läst men inte förstått så be om en förklaring.
.
Jag har läst ditt Yngve. Då får du förklara mer. Jag har tittat även Bubos också.
Päivi skrev :Jag har läst ditt Yngve. Då får du förklara mer. Jag har tittat även Bubos också.
Men varför frågar du inte på en gång Päivi?
Jag skrev en beskrivning på hur du skulle lösa problemet med kvadratkomplettering. Du svarade inte, du bad mig inte förklara.
Sedan hänvisade jag till denna min beskrivning inte mindre än FYRA gånger innan du nu till sist reagerar.
Så här är det hela tiden. Eftersom du inte svarar och inte ber oss att förklara så tror vi att du antingen
- förstår det vi skrev.
- inte har läst det vi skrev.
- du har läst men ignorerar vad vi skrev.
Vi kan inte se in i din hjärna och konstatera att du inte har förstått, du måste tala om det för oss.
Det är inte så konstigt att vi blir frustrerade, förstår du det?
Kolla in detta klipp Päivi. Där går Daniel Barker igenom kvadratkomplettering på en väldigt grundläggande nivå och kopplar det hela till geometri.
Om du har några frågor kring det som Daniel visade så ställ dem här till oss.
Annars kan du gå vidare och titta på detta klipp rörande kvadratkomplettering.
Där går Daniel igenom samma sak, fast nu kopplat till kvadreringsregeln istället för geometri. Det är lite mer rakt på och snabbare.
Jag tyckte inte att det var så stor skillnad på om jag skriver så här. Måste man då med en gång sätta att detta är lika med noll, om tittar på tredje raden, där jag har -3+ 3. Det är ju noll, även det står så. Man skulle dividera 6 med -2. Då blir det -3
Nu förstår jag inte, vad som är fel här igen, Yngve. Jag har läst ditt. När du reagerar så, uppfattar jag att nu är något annat som är fel här igen. Jag läser allt, Yngve.
Jag ignorerar ingenting. Jag trodde att detta var acceptabelt, när det inte är så stor skillnad. Det var därför du inte fick snabbt svar och därför frågade jag inte.
Jag tänkte inte så mycket mer på det. När du reagerade, då måste ju jag svara med en gång till Ditt ,Yngve.
Päivi skrev :Jag tyckte inte att det var så stor skillnad på om jag skriver så här. Måste man då med en gång sätta att detta är lika med noll, om tittar på tredje raden, där jag har -3+ 3. Det är ju noll, även det står så. Man skulle dividera 6 med -2. Då blir det -3
Nej du kan inte skriva så. Det är inte matematiskt korrekt. Det spelar ingen roll om det "inte är så stor skillnad" eller inte. Det är helt enkelt fel.
Felet är att du inte gör samma sak med vänsterledet som med högerledet.
Då säger inte längre rad 2 samma sak som rad 1.
Det är alltså två helt olika ekvationer, med olika lösningar.
Jag kan ta din sista uträkning som exempel:
Första raden lyder
Sedan bryter du ut -2 ur vänsterledet och dividerar samtidigt högerledet med -2:
Vänsterledet blir då och högerledet blir .
Felet är alltså att du dividerar högerledet med -2 utan att göra samma sak med vänsterledet.
Päivi skrev :Nu förstår jag inte, vad som är fel här igen, Yngve. Jag har läst ditt. När du reagerar så, uppfattar jag att nu är något annat som är fel här igen. Jag läser allt, Yngve.
Jag ignorerar ingenting. Jag trodde att detta var acceptabelt, när det inte är så stor skillnad. Det var därför du inte fick snabbt svar och därför frågade jag inte.
Jag tänkte inte så mycket mer på det. När du reagerade, då måste ju jag svara med en gång till Ditt ,Yngve.
Orsaken till att jag reagerar så starkt är alltså inte att du har skrivit en felaktig matematisk uträkning Päivi. Orsaken är istället att du bara förbigår våra förklaringar med tystnad. Du ber oss inte att förklara vad vi menar. Vi har ingen aning om huruvida du ens har läst det vi har skrivit.
Jag läser med en gång om jag finns närheten just i det ögonblicket. Jag har inget intresse för ignorera någonting och absolut inte irritera någon. Det är inte min tanke ens. Jag läste och tänkte, det är inte så skillnad det där. Jag svarar så fort jag ser att det kommer något.
Päivi skrev :
Nej. det är fortfarande samma fel på rad 2. Läste du ens min kommentar om vad som var fel?
Jag hoppas att du nu förstår varför jag känner det som att du inte läser mina kommentarer?
Jag citerar mig själv:
Första raden lyder
Sedan bryter du ut -2 ur vänsterledet och dividerar samtidigt högerledet med -2:
Vänsterledet blir då och högerledet blir .
Felet är alltså att du dividerar högerledet med -2 utan att göra samma sak med vänsterledet.
Rätt sätt att skriva är följande:
Bryt ut -2 ur högerledet:
Dividera med -2:
Addera 3:
Härifrån är det samma som det jag skrev i mitt ursprungliga svar som jag hänvisat till 4 gånger redan.
Nu tänker jag för säkerhets skull fråga dig om du har förstått.
Jag vill alltså att du svarar ja eller nej: Förstår du att det var fel att endast dividera högerledet med -2?
Yngve skrev :
Päivi skrev :

Nej. det är fortfarande samma fel på rad 2. Läste du ens min kommentar om vad som var fel?
Jag hoppas att du nu förstår varför jag känner det som att du inte läser mina kommentarer?
Jag citerar mig själv:
Första raden lyder
-2x2+4x+6=6-2x^2+4x+6=6
Sedan bryter du ut -2 ur vänsterledet och dividerar samtidigt högerledet med -2:
Vänsterledet blir då -2(x2-2x-3) -2(x^2-2x-3) och högerledet blir -3 -3 .
Felet är alltså att du dividerar högerledet med -2 utan att göra samma sak med vänsterledet.
Rätt sätt att skriva är följande:
-2x2+4x+6=6-2x^2+4x+6=6
Bryt ut -2 ur högerledet:
-2(x2-2x-3)=6-2(x^2-2x-3)=6
Dividera med -2:
x2-2x-3=-3x^2-2x-3=-3
Addera 3:
x2-2x=0x^2-2x=0
Härifrån är det samma som det jag skrev i mitt ursprungliga svar som jag hänvisat till 4 gånger redan.
Det är bättre visa, hur man ska göra. Jag har absolut inget intresse för irritera Dig Yngve eller ignorera någonting.
Yngve skrev :
Nu tänker jag för säkerhets skull fråga dig om du har förstått.
Jag vill alltså att du svarar ja eller nej: Förstår du att det var fel att endast dividera högerledet med -2?
Jag är inte 100% säker än, Yngve.
Jag tror att jag börjar förstå det hela, Yngve.
Päivi skrev :Yngve skrev :
Nu tänker jag för säkerhets skull fråga dig om du har förstått.
Jag vill alltså att du svarar ja eller nej: Förstår du att det var fel att endast dividera högerledet med -2?
Jag är inte 100% säker än, Yngve.
Jag tror att jag börjar förstå det hela, Yngve.
Om vi säger så här då
- Ekvation A lyder 2x = 6
- Ekvation B lyder 2x = -3
Mina frågor till dig är nu:
- Tycker du att ekvation A och ekvation B säger samma sak?
- Tycker du att ekvationerna har samma lösning?
Nej, det tycker jag inte, Yngve.
De säger inte samma sak och inte blir det samma lösning.
Päivi skrev :Nej, det tycker jag inte, Yngve.
De säger inte samma sak och inte blir det samma lösning.
OK bra. Nästa steg:
- Ekvation A lyder
- Ekvation B lyder
Mina frågor till dig är nu:
- Tycker du att ekvation A och ekvation B säger samma sak?
- Tycker du att ekvationerna har samma lösning?
1 och 2 säger inte samma sak. Det blir inte samma lösning, Yngve.
Päivi skrev :1 och 2 säger inte samma sak. Det blir inte samma lösning, Yngve.
OK bra. Nästa steg:
- Ekvation A lyder
- Ekvation B lyder
Mina frågor till dig är nu:
- Tycker du att ekvation A och ekvation B säger samma sak?
- Tycker du att ekvationerna har samma lösning?
1 o 2 säger inte samma sak och inte blir det samma lösning, Yngve.
Päivi skrev :
1 o 2 säger inte samma sak och inte blir det samma lösning, Yngve.
OK bra. Nästa steg:
- Ekvation A lyder
- Ekvation B lyder
Mina frågor till dig är nu:
- Tycker du att ekvation A och ekvation B säger samma sak?
- Tycker du att ekvationerna har samma lösning?
1 och 2 är inte samma sak och inte ger det samma lösning.
Päivi skrev :1 och 2 är inte samma sak och inte ger det samma lösning.
OK bra.
- Vänsterledet i ekvation B är likvärdigt med vänsterledet i ekvation A.
- Högerledet i ekvation B får du genom att dividera högerledet i ekvation A med -2.
Ser du att du alltså får ekvation B ur ekvation A om du dividerar endast högerledet med -2?
Mitt svar är ja, Yngve.
Päivi skrev :Mitt svar är ja, Yngve.
OK bra. Och A säger som sagt inte samma sak som B
Då kan jag ställa frågan igen (den som du inte var 100 % säker på tidigare):
Förstår du att det var fel att endast dividera högerledet med -2?
Ja, det gör jag, Yngve!
Päivi skrev :Ja, det gör jag, Yngve!
Vad bra!
Det är alltså viktigt att varje ny rad ska säga samma sak som raden innan. Det spelar ingen roll hur många steg framåt du tänker i huvudet. Det som du skriver måste vara matematiskt korrekt, annars får du dryga poängavdrag på proven. Men det här är gammal kunskap som vi har tjatat om många gånger tidigare Päivi.
Så då kanske vi istället kan gå över till det nya och roliga, nämligen att du ska lära dig hur kvadratkomplettering går till. Då vill jag att du tittar på de två videofilmerna jag länkade till och ställer frågor här om de delar av innehållet som du inte förstår.
Säg till när du har gjort det så kan vi gå vidare.
Ja, det kan jag göra, men nu måste jag göra i ordning djuren för natten. Det tar vi imorgon, Yngve! Jag är igen sen med djuren som vanligt.
Vi syns imorgon igen i tråden.
Ett exempel
Nej, nu skriver du saker som inte är samma igen.
Den ekvation som du har på andra raden har lösningarna x = 1 och x = -7.
Titta om Magdalena på dina lösningar
Rätta svaren ska vara
x= 2,
x=-8
Ja, de rätta svaren till ekvationen är x = 2x och x = -8, precis som jag har skrivit. Det är ekvationen , som du har skrivit på andra raden, som har rötterna 1 och -7. Du gör om en ekvation tillen annan mellan rad 1 och 2, gör en tredje variant på rad 3 och hamnar på något magiskt sätt tillbaka på ekvation 1 på rad 4. Så kan du inte göra! Jämför din lösning med min, så ser du var du har gjort fel.
Hej Päivi.
Detta är precis det vi pratade om i denna tråd sent igår kväll, och det du då till slut sa att du förstod till 100 %.
Men vi tar det väl en sväng till då.
Mina frågor till dig är nu:
- Tycker du att ekvationen på rad 1 och ekvationen på rad 2 säger samma sak?
- Tycker du att ekvationerna har samma lösning?

Rad 2
den kommer från
(x+3)(x+3)= x^2+6x+9-16=0
(x+3)^2 + 3^2= 16
x+ 3= 16+9
x+3= roten ur 25
så här har jag det tänkt.
Ekvationerna som Du Yngve visar är inte lika.
Päivi skrev :Rad 2
den kommer från
(x+3)(x+3)= x^2+6x+9-16=0
(x+3)^2 + 3^2= 16
x+ 3= 16+9
x+3= roten ur 25
så här har jag det tänkt.
Ekvationerna som Du Yngve visar är inte lika.
Jag får känslan att du dels inte fokuserar på ett led i taget, samt att du försöker göra för mycket i varje steg.
T.ex. är detta inte ett godtagbart skrivsätt, för det stämmer inte.
(x+3)(x+3)= x^2+6x+9-16=0
Vad som stämmer är (x+3)(x+3) = . Inget annat. -16 hör inte hemma än i detta steget.
Så om vi nu har ekvationen så kan vi nu subtrahera över 16 som du försökte tidigare.
Päivi skrev :Rad 2
den kommer från
(x+3)(x+3)= x^2+6x+9-16=0
Här skriver du fel igen.
Nu frågar jag dig: Ser du att det som står längst till vänster är INTE lika med det som står i mitten?
Det här har vi kämpat med för flera månader sedan och jag trodde verkligen att du hade fått grepp om detta nu.
(x+3)^2 + 3^2= 16
x+ 3= 16+9
x+3= roten ur 25
så här har jag det tänkt.
Ekvationerna som Du Yngve visar är inte lika.
Nej just det. De är inte lika. Och just därför får du inte skriva på det sättet som du gjorde.
Jag visar ett annat sätt. Vänta ett tag, Yngve.
Päivi skrev :
Ja nu säger rad 1 och rad 2 samma sak.
Men rad 2 och rad 3 säger inte samma sak.
Rad 2 och rad 3 är olika ekvationer. De har olika lösningar.
Rad 3 ska vara
Fråga: Ser du att det blev fel?
(och sedan saknar jag en förklarande rad mellan rad 2 och rad 3. Jag vill att det ska stå eller något liknande på den raden.)
Jag skriver om här, Yngve!
vänta.
Päivi skrev :
Bra Päivi. Nu har du gjort en korrekt lösning baserat på kvadratkomplettering.
Nu saknar jag bara den förklarande raden mellan rad 2 och rad 3.
När det inte blir riktigt annars, måste siffrorna gömmas under 25.
Det är lika farligt sätta rot tecknet också. Rakt av och inget mer.
Päivi, om du vill ha in hela uttrycket under rottecknet, så är en metod att först skriva hela det uttrycket, i ditt fall blir det , markera det uttrycket och sedan klicka på "rotenur". Då blir det så här: . Ett annat sätt är att klicka dit rot-tecknet först och se upp med var man har insättningsstrecket.
Hej Päivi.
Kolla in detta klipp. Det visar hur du kan få till ett längre rotenur-tecken.
Och även hur du blandar text och formler.
Det var verkligen bra sätt,Yngve!



