2
svar
55
visningar
Är detta riktigt? Kommentera

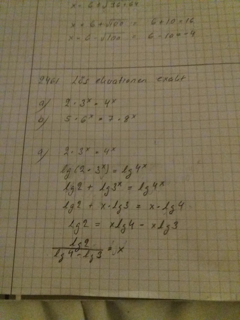
Päivi skrev :
Det ser bra ut Päivi. Det stämmer.
Ett enklare (?) sätt är följande:
Man blir snurrig, när det är upphöjt. En annan gång ska det sättas till lg och helt plötsligt ska man komma ihåg vad är lg 1000000
Det här här allt det snurrigt och helt plötdligt har man ekvationer i det hela.