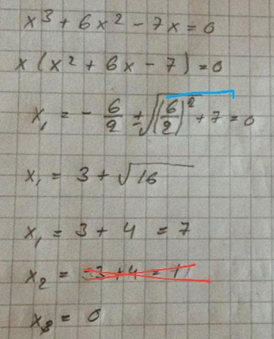
Du tappade bort ett minustecken mellan tredje och fjärde raden.
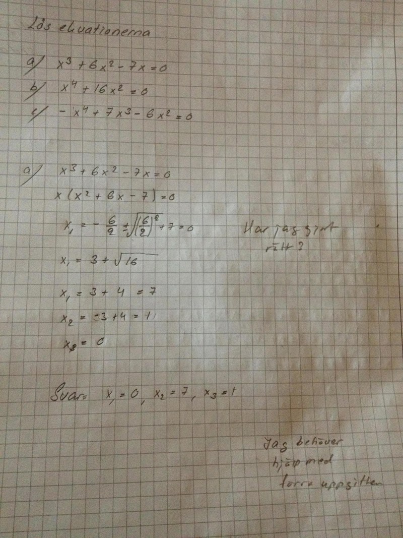
x= 0
x= 1
x= -7
Ja.
Kan du titta på förra räkningen. Behöver hjälp där.
Tack så mycket!
Päivi skrev :Kan du titta på förra räkningen. Behöver hjälp där.
Päivi, annonsera inte dina andra trådar på det här viset. I fortsättningen kommer liknande kommentarer raderas utan förvarning. /moderator
Nu tjatar jag på dig igen Päivi.
Rotenur-tecknet ska gå hela vägen ut även över konstanttermen (blå markering)

Det finns ett fel där. Jag hade glömt minus tecknet.
Ja men det har redan nämnts. Däremot rottecknet har inte tidigare nämnts.
Det måste vara minus tecken. Det där rödmarkerade. Framför 3 måste vara minus tecken.
Päivi skrev :Det måste vara minus tecken. Det där rödmarkerade. Framför 3 måste vara minus tecken.
Ja, det ska vara .
Men i övrigt, du ser väl att rotenurtecknet är för kort (blå markering)?
Och att det ska stå och inte först på raden (röd markering)?

