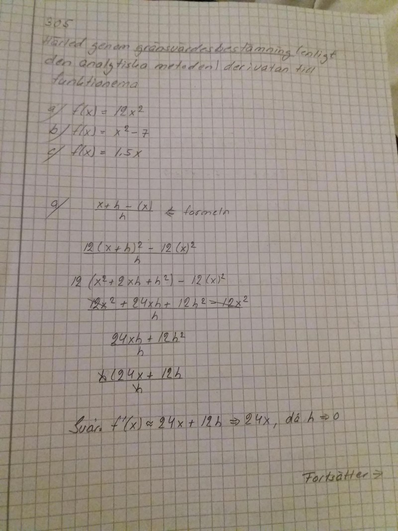
Hej Päivi. Du tänker rätt och räknar rätt men du skriver konsekvent fel på formeln. Titta noga i boken hur derivatans definition (differenskvoten) är formulerad..
Du skriver ((x+h) - x)/h men det ska vara (f(x+h) - f(x))/h.
Sedan tycker jag att du ska använda derivatans definition uttryckligen, dvs att du skriver
f'(x) = lim h->0 (f(x+h) - f(x))/h.
Förenkla differenskvoten till t.ex. (b-uppgiften)
f'(x) = lim h->0 (2x + h).
Låt nu h gå mot 0:
f'(x) = 2x
Lim har inte jag sysslat med än. Det har inte tagits upp än i denna bok, även det står så, Yngve
Päivi skrev :Lim har inte jag sysslat med än. Det har inte tagits upp än i denna bok, även det står så, Yngve
Intressant. Hur ser bokens definition av derivata ut Päivi?

Herre gud. Jag skulle ha lagt hit den som du frågade.
OK då förstår jag.


