2
svar
79
visningar
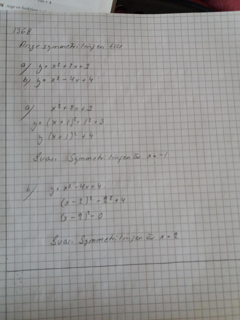
Bra. Skall man påpeka småsaker så har du tappat bort ett " = " på a-uppgiften och "y = " 2 ggr i b-uppgiften, men det är som sagt småsaker.
Tack för det Magdalena!
