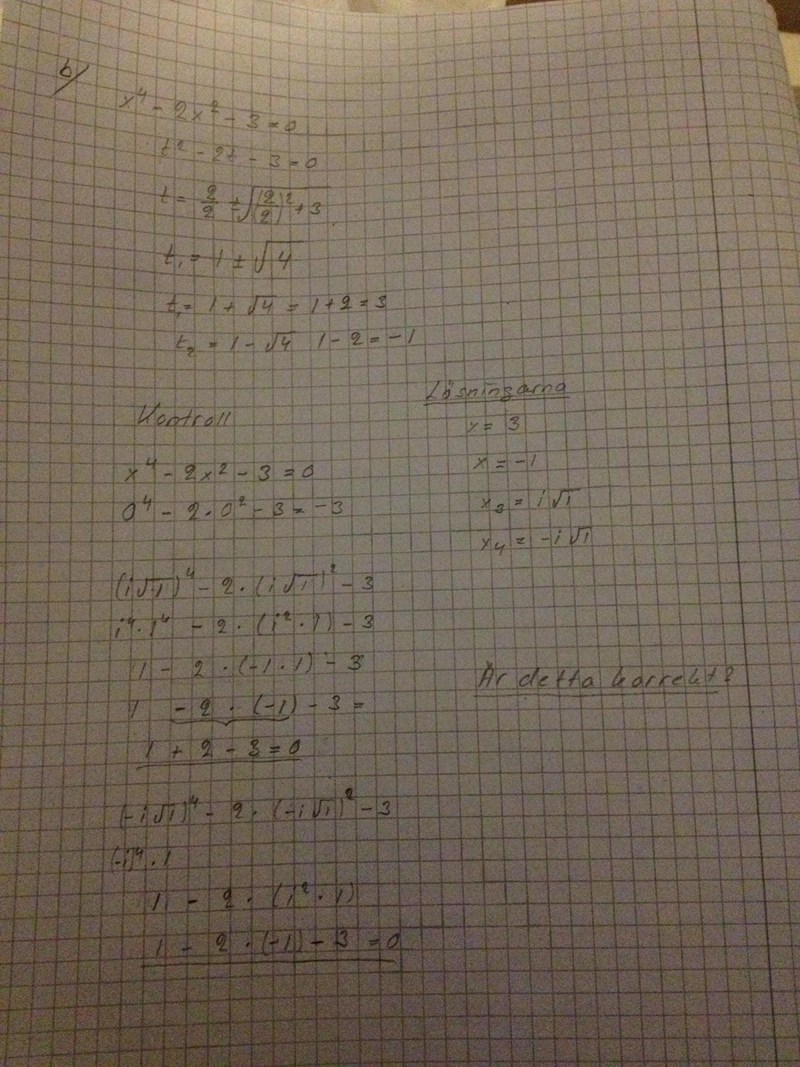
Det är korrekt t.o.m dina uträkningar av t1 och t2
Sen måste du räkna ut x. Du har satt x^2=t (fast du inte orkat skriva det) och nu använder du det för att räkna ut dina x. Varje t kommer ge dig två x.
Början är jättebra. Du får fram de båda lösningarna till ekvationen fullständigt korrekt.
Men sedan vet jag inte vad det är du håller på med. Du har fått fram att eller , d v s att eller att . Varoch en av de båda ekvationerna har två lösningar. Kan du hitta dem?
Du har kommit fram till att eller . Ta en ny sida i ditt block och lös de båda ekvationerna. Sätt sedan in de fyra x-värdena i den ursprungliga ekvationen och kolla om det stämmer. Visa här när du är klar med det.
Läs joculators och Smaragdalenas kommentarer igen.
Smaragdalena skrev :Du har kommit fram till att eller . Ta en ny sida i ditt block och lös de båda ekvationerna. Sätt sedan in de fyra x-värdena i den ursprungliga ekvationen och kolla om det stämmer. Visa här när du är klar med det.
Ursäkta om jag blir tjatig.
x= roten ur 3
x= - roten ur 3
x.= roten minus 1
x= i
Skriv ordentligt vilka rötter som hör ihop med vilken ekvation. Hur många olika rötter har du hittat? Har du satt in dem i den ursprungliga ekvationen och kollat att det stämmer?
Jag håller på med det nu.
Smaragdalena skrev :Smaragdalena skrev :Du har kommit fram till att eller . Ta en ny sida i ditt block och lös de båda ekvationerna. Sätt sedan in de fyra x-värdena i den ursprungliga ekvationen och kolla om det stämmer. Visa här när du är klar med det.
Ursäkta om jag blir tjatig.
Som du ser, hade du inte hittat de fyra rötterna. Ta ett nytt papper, så att du inte ser dena felaktiga beräkningar och ramlar i samma grop igen, och lös de båda ekvationerna!
joculator skrev :Det är korrekt t.o.m dina uträkningar av t1 och t2
Sen måste du räkna ut x. Du har satt x^2=t (fast du inte orkat skriva det) och nu använder du det för att räkna ut dina x. Varje t kommer ge dig två x.
Nej.
Var fick du ifrån?
Detta är de två första lösningarna. Bägge är reella. Sen har du även:
Detta är de andra 2 lösningarna.
Samtliga lösningar är alltså
Tack Joculator!
Jag klarar inte av kontroll räkna detta!
Klart du gör!
Du vill kolla att x^4-2x^2-3=0
Börja med x=i så får du
Då tar vi x=-i
Kan du testa de reella lösningarna?
Jag kommer om ca 30 minuter tillbaka. Kolla då Joculator!
Joculator!
Nu visar jag
Du ser att du kan, om du bara tar det lugnt och gör varje steg noggrant.
Glöm inte bort att belöna dig själv när du gör rätt. En ridtur kanske?
Jag har inget speciellt annat nöje än bara matte under sorg perioden. Matte är den enda nöje för mig och musik. Jag lyssnar musik samtidigt som jag gör matte. Måste jag tänka riktigt ordentligt, då måste jag stänga av musiken. Jag lyssnar musik och gör matte. Måste ibland till affären och naturligtvis måste man äta och ta kaffe för att vara pigg.
Det lilla jag stressar, klarar jag inte alls av räkna. Samma uppgift kan jag klara av lite senare, om jag vet att det där har jag klarat av tidigare eller liknande.
När man är nedstämd, då känner man nere. Man känner att man klarar ingenting av, som jag har gjort tidigare.
Komplexa är väldigt nytt för mig. Jag har läst gamla B kursen. Från gamla C kursen är det lite skillnad till 3c matte, i vissa områden. Allt som fattas hos mig, måste jag ta kapp före provet.



