4
svar
219
visningar
Kapi behöver inte mer hjälp
Är e positiv eller negativ?
Hej!
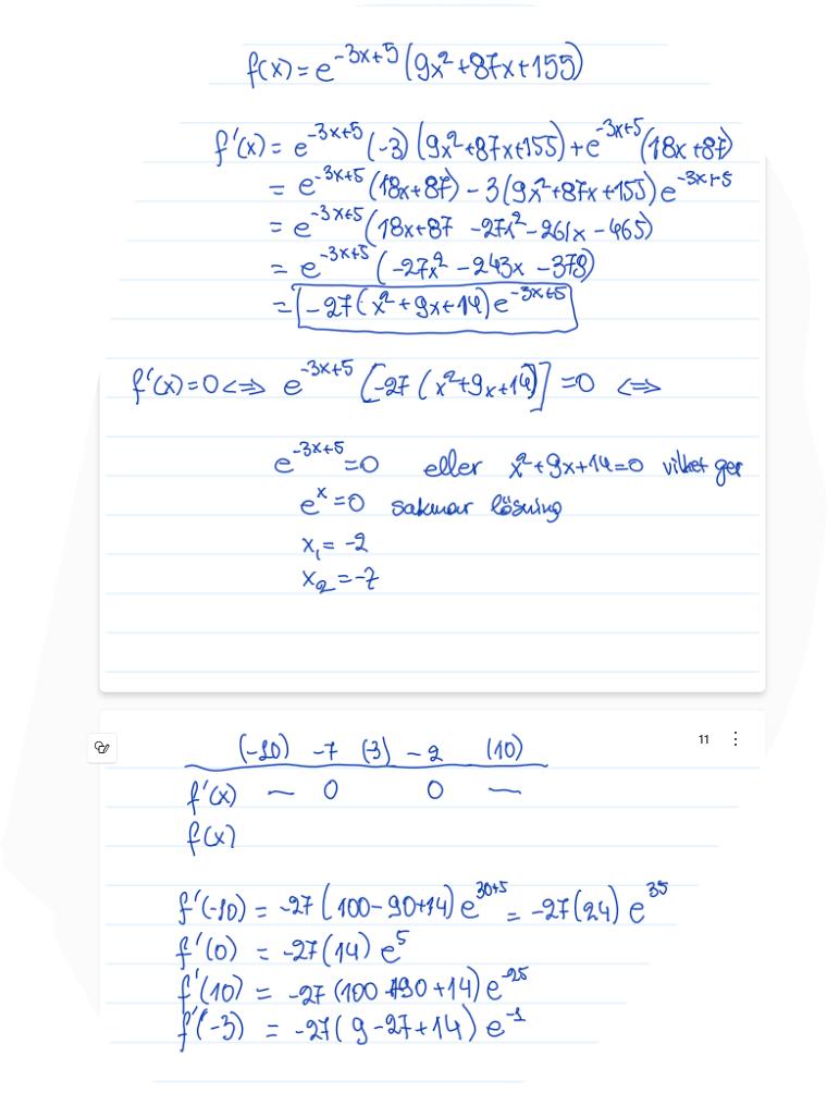
Jag vill hitta de lokala max och min till funktionen. Jag har fastanat vid tabellen. Jag förstår inte om derivatan av funktionen blir + eller - pga talet e

Undrar du om talet e-1? Det är 1/e, alltså positivt. ex är alltid positivt.
Okej, men då har jag räknat fel de olika f'(X), eller ? Jag räknar att alla f'(x) är negativa...
Du har beräknat f'(x) korrekt och du har hittat derivatans nollställen x = -7 och x = -2.
Men det gäller inte att derivatan är negativ överallt.
Uttrycket innanför parenteserna I din uträkning av f'(-3) är negativt, så f'(-3) blir positivt.
Hur lyder uppgiften egentligen?
Åh, det missade jag. Jag hittade en lokal min och en max.
