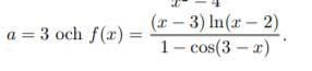
är f(a) kontinuerlig?
Frågan lyder om det är överhuvudtaget möjligt att definiera f(a) så att f(x) blir kontinuerlig då a = 3.
Jag började med att undersöka vad f(a) blir och det slutar med en klassiker, nämligen . Jag försökte se om jag kunde bryta isär uttrycket och kanske få fram något vettigt så men det slutar med där är det som blir kvar av när jag splittrar den. Min andra tanke var kanske att derivera men det blir jobbigt att köra kvotreglen här. Vi har ej berört l'hospital regel men det är det enda alternativet jag ser här som fungerar utan att behöva göra grisiga beräkningar.
Jag borde nog också notera att jag ritade upp grafen och den är definierad vid x = 3, f(a)=2. Här är grafen på
Är det något jag missar?
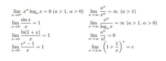
Vilka metoder för att beräkna gränsvärden hör till samma kapitel som frågan? Standardgränsvärden? Taylorutveckling?
Standardgränsvärden och derivator mha de vanliga deriveringsreglerna hör till detta kapitlet.
Då hade jag testat med variabelbyte, t=x-3
ger , stoppar jag in detta istället får jag:
Om jag låter så får jag , vilket är som typ är 2, räknas det heh?
Vad går t mot när x-->3?
Ja. Är det de här standardgränsvärdena du har?

De enda vi får är 
Jag har dock kommit så långt som att bryta ut ln(x+1) och bryta ut x så det blir 1. det som kvarstår är . Om jag använder gränsvärdet du nyss gav mig får jag ju 2 direkt eftersom jag kan flytta ner och ha kvar 1/(1/2) och sedan kasta upp 2an igen så det blir .
Ja precis. Jag kommer inte på något sätt att lösa det med bara din tabell men det kanske går 🤔
Okej, jag tror jag har kommit på den alternativa lösningen, typ..
detta verkar också bli 2
Snyggt! Det hade jag inte tänkt på
Tack så mycket för hjälpen! Jag hittade ännu en metod, kul att det finns så många olika sätt att beräkna en och samma uppgift! Det går att förlänga med konjugatet till 1-cos(x) och sedan göra om det till sin^2(x).
Nu har jag slarvat och inte lagt ut lim någonstans med det är bara för att visa lösningen!
t/sint blir 1 och stoppar vi in noll i cos(t) får vi 1, alltså: